(1) Die FMA hat die Basis der Berechnung der Kosten festzusetzen, wenn die für die Kostenbemessung erforderlichen Datenmeldungen gemäß § 6
1. mangels Basisdaten nicht erstattet werden konnten oder mangels Meldepflicht gemäß den in § 6 Abs. 1 genannten Bestimmungen oder den entsprechenden Vorgängerbestimmungen nicht erstattet werden mussten oder
2. pflichtwidrig nicht, nicht rechtzeitig oder nicht vollständig übermittelt worden sind.
(2) Liegen die Voraussetzungen des Abs. 1 vor, hat die FMA
1. eine Berechnung des Kostenanteils auf Basis der letztvorliegenden Datenmeldung gemäß § 6 oder den entsprechenden Vorgängerbestimmungen zuzüglich eines Zuschlages vorzunehmen oder
2. hilfsweise den Kostenanteil in Höhe der Beträge gemäß Abs. 4 oder § 14 Abs. 3 Z 3 festzusetzen.
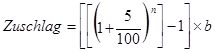
(3) Der Zuschlag gemäß Abs. 2 Z 1 berechnet sich wie folgt:

wobei Folgendes gilt:
1. n ist die Anzahl der lückenlos aufeinander folgenden Jahre, für die die FMA die Basis der Berechnung der Kosten auf Basis der letztvorliegenden Datenmeldung festzusetzen hat;
2. b ist die für die letzte Vorperiode für den jeweiligen Kostenpflichtigen errechenbare Bemessungsgrundlage.
(4) Liegen für einen Kostenpflichtigen keine Datenmeldungen gemäß § 6 oder den entsprechenden Vorgängerbestimmungen aus Vorperioden vor, so hat die FMA den Kostenanteil
1. eines Kreditinstituts oder sonstigen Kostenpflichtigen gemäß § 3 Abs. 1 Z 1 mit dem Mindestbetrag gemäß § 69a Abs. 4 BWG,
2. eines Zahlungsinstitutes mit dem Mindestbetrag gemäß § 89 Abs. 4 ZaDiG 2018,
3. eines E-Geldinstitutes mit dem Mindestbetrag gemäß § 22 Abs. 2 E-Geldgesetz 2010 in Verbindung mit § 89 Abs. 4 ZaDiG 2018,
4. eines Kostenpflichtigen gemäß § 3 Abs. 1 Z 2 mit den betraglichen Mindestkosten gemäß § 12 Abs. 1,
5. einer Pensionskasse mit dem sich aus § 35 Abs. 1 Z 1 PKG ergebenden Betrag,
6. eines meldepflichtigen Instituts mit der Mindestpauschale gemäß § 14 Abs. 3 Z 1,
7. eines Emittenten mit der Mindestpauschale gemäß § 14 Abs. 3 Z 2,
8. eines Clearingmitgliedes mit der Mindestpauschale gemäß § 14 Abs. 3 Z 4,
9. eines der in § 3 Abs. 1 Z 3 lit. f genannten Kostenpflichtigen mit der Mindestpauschale gemäß § 14 Abs. 3 Z 5, soweit es sich aber um einen registrierten AIFM gemäß § 3 Abs. 1 Z 3 lit. f handelt, mit der Mindestpauschale gemäß § 14 Abs. 3 Z 6,
10. eines Administrators mit der Mindestpauschale gemäß § 14 Abs. 3 Z 7,
(Anm.: Z 11 aufgehoben durch Z 5, BGBl. II Nr. 387/2024)
12. einer abwicklungsrelevanten Wertpapierfirma (§ 3 Abs. 1 Z 3 lit. i) mit der Mindestpauschale gemäß § 14 Abs. 3 Z 8 und
13. eines ART- oder EMT-Emittenten oder CASP gemäß § 3 Abs. 1 Z 3 lit. j mit der Mindestpauschale gemäß § 14 Abs. 3 Z 9
festzusetzen.
(5) Im Falle des Abs. 4 ist die FMA berechtigt, den Kostenanteil eines Kostenpflichtigen gemäß § 13 Abs. 1 Z 3, dem eine Konzession zur Erbringung von Wertpapierdienstleistungen gemäß § 3 Abs. 2 WAG 2018 erteilt wurde, auf Grundlage der im Rahmen der Konzessionierung gemäß § 3 Abs. 8 WAG 2018 in Verbindung mit § 4 Abs. 3 Z 3 BWG vorzulegenden Budgetrechnung festzusetzen. § 17 bleibt hierbei unberührt.
(6) Liegen für ein Mitgliedinstitut einer Sicherungseinrichtung (§ 3 Abs. 1 Z 1 lit. c) keine Datenmeldungen vor, so wird dieses Mitgliedinstitut bei der gemäß § 56 Abs. 2 ESAEG vorgesehenen Bildung der Summe der nach § 69a Abs. 2 BWG festgestellten Kostenzahlen der dieser Sicherungseinrichtung zugehörigen Mitgliedsinstitute unter Anwendung der Bestimmungen über die behördliche Kostenfestsetzung gemäß Abs. 1 bis 3 berücksichtigt.
Rückverweise
Keine Verweise gefunden