Ziele des Gesetzes
§ 2Begriffsbestimmungen
§ 3Immissionsgrenzwerte und Vorgaben in Bezug auf PM2,5
§ 3aVerpflichtung in Bezug auf den AEI
§ 3bNationales Ziel für die Reduzierung des AEI
§ 4Meßkonzept
§ 5Meßstellen, Meßzentralen
§ 6Datenverbund
§ 7Ausweisung der Überschreitung
§ 8Statuserhebung
§ 9Emissionskataster
§ 9aErstellung von Programmen
§ 9bGrundsätze
§ 9cUmweltprüfung und Beteiligung der Öffentlichkeit
§ 9dGrenzüberschreitende Konsultationen bei einer Umweltprüfung
§ 10Anordnung von Maßnahmen
§ 13Maßnahmen für Anlagen
§ 13aSanierung
§ 14Maßnahmen für Kraftfahrzeuge
§ 14aKennzeichnung der Kraftfahrzeuge nach Abgasklassen
§ 15Maßnahmen für Stoffe, Zubereitungen und Produkte
§ 15aVerbrennen im Freien
§ 16Zusätzliche Maßnahmen
§ 17Vollziehung, Behörde
§ 18Zusätzliche Genehmigungsvoraussetzungen im Sanierungsgebiet
§ 19Programm für die Erreichung des nationalen Ziels für die Reduzierung des AEI
§ 20Genehmigungsvoraussetzungen
§ 21Genehmigungspflicht
§ 21aGenehmigung für IPPC-Anlagen
Vorwort
(1) Luftschadstoffe im Sinne dieses Bundesgesetzes sind Stoffe, die Veränderungen der natürlichen Zusammensetzung der Luft durch Partikel, Gase oder Aerosole bewirken.
(2) Emissionen im Sinne dieses Bundesgesetzes sind von einer Quelle an die freie Atmosphäre abgegebene Luftschadstoffe.
(3) Immissionen im Sinne dieses Bundesgesetzes sind die auf Schutzgüter (Abs. 6) einwirkenden Luftschadstoffe.
(4) Immissionsgrenzwerte im Sinne dieses Bundesgesetzes sind, sofern Abs. 5 nicht anderes bestimmt, höchstzulässige, wirkungsbezogene Immissionsgrenzkonzentrationen, bei deren Unterschreitung nach den einschlägigen wissenschaftlichen Erkenntnissen keine schädigenden Wirkungen zu erwarten sind.
(5) Immissionsgrenzwerte für kanzerogene, mutagene und teratogene Stoffe im Sinne dieses Bundesgesetzes sind höchstzulässige Immissionskonzentrationen. Ebenso ist der Immissionsgrenzwert für PM 10 und PM 2,5 jeweils eine höchstzulässige Immissionskonzentration.
(5a) PM 10 im Sinne dieses Bundesgesetzes bezeichnet die Partikel, die einen größenselektierenden Lufteinlass passieren, der für einen aerodynamischen Durchmesser von 10 µm eine Abscheidewirksamkeit von 50 v.H. aufweist.
(5b) PM 2,5 im Sinne dieses Bundesgesetzes bezeichnet die Partikel, die einen größenselektierenden Lufteinlass passieren, der für einen aerodynamischen Durchmesser von 2,5 µm eine Abscheidewirksamkeit von 50 v.H. aufweist.
(6) Schutzgüter sind in Entsprechung der Ziele dieses Bundesgesetzes (§ 1) der Mensch, der Tier- und Pflanzenbestand, ihre Lebensgemeinschaften, Lebensräume und deren Wechselbeziehungen sowie Kultur- und Sachgüter.
(6a) Luft ist die Außenluft in der Troposphäre mit Ausnahme von Arbeitsstätten im Sinne der Richtlinie 89/654/EWG über Mindestvorschriften für Sicherheit und Gesundheitsschutz in Arbeitsstätten, ABl. L 393 S. 1, geändert durch Richtlinie 2007/30/EG ABl. L 165, S. 21, an denen Bestimmungen für Gesundheitsschutz und Sicherheit am Arbeitsplatz gelten und an denen die Öffentlichkeit normalerweise keinen Zugang hat.
(7) Untersuchungsgebiet im Sinne dieses Bundesgesetzes ist das Bundesgebiet oder jener Teil des Bundesgebiets, für den eine gemeinsame Auswertung der Immissionsmessdaten, die nach diesem Bundesgesetz erhoben werden, erfolgt; sofern das Messkonzept gemäß § 4 nicht anderes bestimmt, ist das Untersuchungsgebiet ein Bundesland.
(8) Sanierungsgebiet im Sinne dieses Bundesgesetzes ist das Bundesgebiet oder jener Teil des Bundesgebiets, in dem sich die Emissionsquellen befinden, die einen erheblichen Beitrag zur Immissionsgrenzwertüberschreitung geleistet haben und für die in einem Programm gemäß § 9a Maßnahmen vorgesehen werden können.
(1) Im gesamten Bundesgebiet gelten die unter Bedachtnahme auf die einschlägigen wissenschaftlichen Erkenntnisse in den Anlagen 1 und 2 festgelegten Immissionsgrenzwerte zum dauerhaften Schutz der menschlichen Gesundheit.
(2) Für die Luftschadstoffe Schwefeldioxid und Stickstoffdioxid gelten im gesamten Bundesgebiet die in Anlage 4 festgelegten Alarmwerte.
(3) Für Stickstoffdioxid gilt zusätzlich im gesamten Bundesgebiet der in Anlage 5a festgelegte Zielwert.
(4) Für PM 2,5 gelten zusätzlich die in § 3a festgelegte Verpflichtung in Bezug auf den AEI und das in § 3b festgelegte nationale Ziel für die Reduzierung des AEI.
(5) Der Bundesminister für Land- und Forstwirtschaft, Umwelt und Wasserwirtschaft kann zur innerstaatlichen Umsetzung von Richtlinien der Europäischen Union sowie unter Bedachtnahme auf die einschlägigen wissenschaftlichen Erkenntnisse mit Verordnung festlegen:
1. Immissionsgrenzwerte (§ 2 Abs. 4 und 5) für solche Luftschadstoffe, die geeignet sind, ein anderes Schutzgut (§ 2 Abs. 6) als das in Abs. 1 genannte zu gefährden oder Menschen unzumutbar zu belästigen;
2. dem dauerhaften Schutz der menschlichen Gesundheit dienende Immissionsgrenzwerte für Luftschadstoffe, die in den Anlagen 1 und 2 nicht angeführt sind.
(6) Eine Verordnung gemäß Abs. 5 kann nur im Einvernehmen mit dem Bundesminister für Wirtschaft, Familie und Jugend erlassen werden, wenn es sich um Grenzwerte für Luftschadstoffe handelt,
1. für die weder in einer Tochterrichtlinie der Richtlinie 96/62/EG über die Beurteilung und Kontrolle der Luftqualität, ABl. Nr. L 296 vom 21. November 1996 S. 55, noch in der Richtlinie 2008/50/EG ein Grenzwert festgelegt ist,
(1) Die Landeshauptmänner, in deren Bundesland eine Messstelle zur Messung des AEI liegt, wobei der Durchschnittsmesswert an dieser Messstelle in dem Zeitraum, in dem die Ausweisung einer Überschreitung nach § 7 Abs. 2 vorgenommen wurde, maximal 20 µg/m³ beträgt, sorgen dafür, dass dieser Wert an dieser Messstelle im Zeitraum 2013 bis 2015 nicht überschritten wird.
(2) Die Landeshauptmänner, in deren Bundesland eine Messstelle zur Messung des AEI liegt und deren zu erreichender Durchschnittsmesswert gemäß Anlage 8 Abs. 3c auf 20 µg/m³ zu senken ist, sorgen dafür, dass dieser Wert an dieser Messstelle im Zeitraum 2013 bis 2015 nicht überschritten wird.
(3) Die Landeshauptmänner, in deren Bundesland eine Messstelle zur Messung des AEI liegt und deren zu erreichender Durchschnittsmesswert gemäß Anlage 8 Abs. 3a um einen bestimmten Prozentsatz zu senken ist, sorgen dafür, dass der um diesen Prozentsatz gesenkte Wert an dieser Messstelle im Zeitraum 2013 bis 2015 nicht überschritten wird.
Das nationale Ziel für die Reduzierung des AEI ist das Ziel, den AEI 2020 im Vergleich zum AEI 2011 um einen Prozentsatz, der im Anhang XIV der Richtlinie 2008/50/EG über Luftqualität und saubere Luft für Europa, ABl. Nr. L 152 vom 11. Juni 2008 S. 1, als Ziel festgelegt ist, zu reduzieren. Das Ziel soll schädliche Auswirkungen auf die menschliche Gesundheit verringern und soll möglichst in dem vorgegebenen Zeitraum erreicht werden.
(1) Der Bundesminister für Land- und Forstwirtschaft, Umwelt und Wasserwirtschaft hat nach Anhörung der Landeshauptmänner innerhalb von sechs Monaten nach Inkrafttreten dieses Bundesgesetzes mit Verordnung ein Messkonzept für die Kontrolle der Einhaltung der in den Anlagen 1, 2 und 5 festgelegten Immissionsgrenz- und -zielwerte, der Erfüllung der Verpflichtung in Bezug auf den AEI gemäß § 3a und der Erreichung des nationalen Zieles für die Reduktion des AEI gemäß § 3b, einschließlich der Festlegung der Anforderungen für die Beurteilung der Luftqualität, der Kriterien für die Lage und die Anzahl der Messstellen, der Beurteilung der Hintergrundbelastung und der zeitlichen Entwicklung der Immissionssituation (Trendabschätzung) sowie der Abschätzung des Import-Export-Anteils (Messungen im Rahmen des Genfer Übereinkommens über die weiträumige grenzüberschreitende Luftverunreinigung) gemäß den Anhängen I bis VI der Richtlinie 2008/50/EG, zu erlassen. Für Immissionsgrenzwerte, die in einer Verordnung nach § 3 Abs. 5 festgelegt werden, ist das Messkonzept innerhalb von sechs Monaten nach Inkrafttreten der Verordnung zu erlassen.
(2) Das Meßkonzept hat jedenfalls zu enthalten:
1. die Einteilung des Bundesgebiets in Untersuchungsgebiete (§ 2 Abs. 7);
2. Angaben über die Art der Messung (einschließlich der Erfassung meteorologischer Parameter);
3. Angaben über die Mindestanzahl der Meßstellen pro Untersuchungsgebiet;
4. Angaben über die Zahl der Meßstellen und deren lokalen Standortbereich;
4a. Angaben über die Messstellen für den städtischen Hintergrund (§ 2 Abs. 24);
5. die Anforderungen an die Lage der Meßstellen, insbesondere im Hinblick auf die Lage zu Emittenten;
(1) Die Landeshauptmänner haben die Messstellen einzurichten und zu betreiben. Sie haben sich unter anderem an den Standorten Sonnblick (Salzburg), Zöbelboden (Oberösterreich), Illmitz (Burgenland) und Vorhegg (Kärnten) der Messstellen des Umweltbundesamtes zu bedienen.
(2) Sofern die begründete Annahme besteht, dass ein Schutzgut (§ 2 Abs. 6) gefährdet ist, kann der Landeshauptmann
1. zur Beschreibung der Immissionssituation und
2. zur Erhebung der Immissionsbelastung durch jene Luftschadstoffe, für die kein Immissionsgrenz- oder –zielwert in den Anlagen 1 oder 2 oder in einer Verordnung nach § 3 Abs. 5 festgelegt ist,
Vorerkundungsmessungen durchführen; diese Messungen können auch der Bestimmung der Lage von Meßstellen dienen.
(3) Die Zusammenfassung der Meßdaten erfolgt in den Meßzentralen. In jedem Bundesland ist für die vom Landeshauptmann betriebenen Meßstellen eine Meßzentrale einzurichten und zu betreiben. Das Umweltbundesamt hat für die von ihm betriebenen Meßstellen eine Meßzentrale einzurichten und zu betreiben.
(4) Die in einer Meßzentrale kontinuierlich erfaßten Meßdaten sind mittels Datenverbund (§ 6) allen anderen Meßzentralen zur Verfügung zu stellen.
(5) Die in einer Meßzentrale diskontinuierlich erfaßten Meßdaten sind in geeigneter Form zu sammeln und zumindest einmal jährlich dem Umweltbundesamt zu übermitteln.
(1) Der Bundesminister für Umwelt, Jugend und Familie hat nach Anhörung der Landeshauptmänner innerhalb von zwölf Monaten nach Inkrafttreten dieses Bundesgesetzes im Umweltbundesamt einen Datenverbund zum Austausch von Meßdaten, die nach diesem Bundesgesetz kontinuierlich zu erfassen sind, zwischen den Meßzentralen (§ 5 Abs. 3) einzurichten und zu betreiben; Einrichtungen des Datenverbunds nach dem Ozongesetz, BGBl. Nr. 210/1992, sind heranzuziehen.
(2) Die Meßdaten, die nach diesem Bundesgesetz kontinuierlich zu erfassen sind, sind zumindest zweimal täglich im Datenverbund bereitzustellen.
(3) Bei Änderung des Meßkonzepts (§ 4) ist der Datenverbund innerhalb von sechs Monaten anzupassen.
(1) Sofern an einer gemäß § 5 betriebenen Messstelle eine Überschreitung eines in den Anlagen 1, 2, 4 oder 5 oder in einer Verordnung nach § 3 Abs. 5 festgelegten Immissionsgrenz-, Immissionsziel- oder Alarmwerts festgestellt wird, hat der Landeshauptmann diese Überschreitung im Monatsbericht, sofern es sich um einen Halbstundenmittelwert, einen Mittelwert über acht Stunden oder einen Tagesmittelwert handelt, oder im Jahresbericht (§ 4 Abs. 2 Z 8 lit. c), sofern es sich um einen Halbjahresmittelwert, einen Jahresmittelwert oder einen Wert mit jahresbezogenen Überschreitungsmöglichkeiten handelt, auszuweisen und festzustellen, ob die Überschreitung eines Immissionsgrenzwerts auf
1. einen Störfall,
2. eine andere in absehbarer Zeit nicht wiederkehrende erhöhte Immission,
3. die Aufwirbelung von Partikeln nach der Ausbringung von Streusand, Streusalz oder Splitt auf Straßen im Winterdienst oder
4. Emissionen aus natürlichen Quellen
zurückzuführen ist.
(2) Der Bundesminister für Land- und Forstwirtschaft, Umwelt und Wasserwirtschaft hat die Überschreitung der Verpflichtung in Bezug auf den AEI über die in Anlage 8 festgelegten Zeiträume jeweils in dem auf das letzte Jahr des Zeitraums folgenden Jahr auszuweisen. Bei der Ausweisung der Überschreitung ist Anlage 6 sinngemäß anzuwenden.
(3) Der Bundesminister für Land- und Forstwirtschaft, Umwelt und Wasserwirtschaft hat eine Verordnung betreffend die Kriterien für die Beurteilung, ob die Überschreitung auf die Aufwirbelung von Partikeln nach der Ausbringung von Streusand, Streusalz oder Splitt zurückzuführen ist, zu erlassen. Ergibt die Beurteilung, dass die Überschreitungen auf aufgewirbelte Partikel zurückzuführen sind, so hat der Landeshauptmann die Nachweise, auf die sich die Beurteilung stützt, vorzulegen; weiters hat er die Angemessenheit der getroffenen Maßnahmen darzulegen. Der Bundesminister für Land- und Forstwirtschaft, Umwelt und Wasserwirtschaft hat diese Information an die Europäische Kommission weiterzuleiten.
(1) Der Landeshauptmann hat innerhalb von neun Monaten ab der Ausweisung der Überschreitung eines Immissionsgrenzwerts eine Statuserhebung gemäß Abs. 2 zu erstellen, wenn
1. die Überschreitung eines in den Anlagen 1 oder 2 oder in einer Verordnung nach § 3 Abs. 5 festgelegten Immissionsgrenzwerts an einer gemäß § 5 betriebenen Messstelle festgestellt wird und
2. die Überschreitung nicht auf
a) einen Störfall (§ 7 Abs. 1 Z 1),
b) eine andere in absehbarer Zeit nicht wiederkehrende erhöhte Immission (§ 7 Abs. 1 Z 2),
c) die Aufwirbelung von Partikeln nach der Ausbringung von Streusand, Streusalz oder Splitt auf Straßen im Winterdienst (§ 7 Abs. 1 Z 3) oder
d) Emissionen aus natürlichen Quellen (§ 7 Abs. 1 Z 4)
zurückzuführen ist.
(1a) Der Landeshauptmann eines Bundeslandes, in dem sich eine Messstelle gemäß der Verordnung über das Messkonzept (§ 4) für den AEI befindet, hat innerhalb von neun Monaten nach Ausweisung der Überschreitung der Verpflichtung in Bezug auf den AEI gemäß § 7 Abs. 2 eine Statuserhebung zu erstellen.
(2) Die Statuserhebung ist für den Beurteilungszeitraum (§ 2 Abs. 9), in dem die Überschreitung des Immissionsgrenzwerts (Anm. 1) oder des AEI aufgetreten ist, zu erstellen und hat jedenfalls zu enthalten:
1. die Darstellung der Immissionssituation für den Beurteilungszeitraum,
(1) Soweit dies zur Erstellung eines Programms gemäß § 9a erforderlich ist, hat der Landeshauptmann einen Emissionskataster (§ 2 Abs. 11), in dem alle in Betracht kommenden Emittentengruppen erfasst werden, gemäß der Verordnung nach Abs. 2 zu erstellen. Durch die Veröffentlichung von Daten aus dem Emissionskataster dürfen Geschäfts und Betriebsgeheimnisse nicht verletzt werden.
(2) Der Bundesminister für Umwelt, Jugend und Familie hat mit Verordnung nähere Vorschriften über Inhalt und Umfang der Emissionskataster festzulegen. Die Verordnung hat jedenfalls Angaben zu enthalten über
1. die zu berücksichtigenden Emittentengruppen,
2. die erforderliche räumliche Auflösung,
3. das zu verwendende geodätische Bezugssystem,
4. die für die Berechnung anzuwendenden Emissionsfaktoren,
5. die auszuweisenden Einzelquellen.
(3) Soweit dies zur Erstellung des Emissionskatasters erforderlich ist, hat der Landeshauptmann auf alle bei den Behörden vorhandenen Daten zurückzugreifen. Zusätzlich kann er dazu auf Daten, die bei mit behördlichen Aufgaben beliehenen Unternehmen und Institutionen auf Grund gesetzlich vorgesehener Erhebungen vorhanden sind, zugreifen. Soweit erforderlich, haben Betreiber von Anlagen (§ 2 Abs. 10) dem Landeshauptmann auf Verlangen Auskünfte über vorhandene Meßergebnisse sowie über vorhandene emissionsbezogene Daten, wie Menge, Art und Zusammensetzung der Brennstoffe und Produktionsmittel und emissionsmindernde Vorkehrungen, zu erteilen.
(1) Zur Erreichung der Ziele dieses Bundesgesetzes (§ 1) hat der Landeshauptmann unter Bedachtnahme auf nationale Programme gemäß § 6 des Emissionshöchstmengengesetzes-Luft, BGBl. I Nr. 34/2003, Pläne und Programme gemäß § 13 des Ozongesetzes, BGBl. Nr. 210/1992 und erarbeiteten Maßnahmen gemäß § 3 des Klimaschutzgesetzes, BGBl. I Nr. 106/2011, sowie unter Nutzung von Synergieeffekten mit lokalen, regionalen und bundesweiten Energie- und Klimaschutzmaßnahmen
1. auf Grundlage der Statuserhebung (§ 8) und eines allenfalls erstellten Emissionskatasters (§ 9),
2. unter Berücksichtigung der Stellungnahmen gemäß § 8 Abs. 5 und 6,
3. unter Berücksichtigung der Grundsätze gemäß § 9b,
4. unter Heranziehung der Zeitpunkte, bis zu denen die Grenz- und Zielwerte gemäß der Richtlinie 2008/50/EG eingehalten werden müssen und
5. auf Grundlage des Programms für die Erreichung des nationalen Ziels für die Reduzierung des AEI gemäß § 19
ein Programm zu erstellen. Darin sind jene Maßnahmen festzulegen, die ergriffen werden, um die Emissionen, die zur Überschreitung des Immissionsgrenzwerts gemäß Anlage 1 oder 2 oder einer Verordnung nach § 3 Abs. 5 oder des AEI geführt haben, in einem Ausmaß zu reduzieren, dass die Einhaltung folgender Grenzwerte,
– des Tagesmittelwertes für PM 10 gemäß Anlage 1a mit nicht mehr als 35 Überschreitungen pro Jahr,
Bei der Erstellung von Programmen gemäß § 9a sind folgende Grundsätze zu berücksichtigen:
1. Beeinträchtigungen der Schutzgüter durch Luftschadstoffe ist im Sinne des Verursacherprinzips vorzubeugen; nach Möglichkeit sind Luftschadstoffe an ihrem Ursprung zu bekämpfen;
2. alle Emittenten oder Emittentengruppen, die im Beurteilungszeitraum einen nennenswerten Einfluss auf die Immissionsbelastung gehabt haben und einen nennenswerten Beitrag zur Immissionsbelastung, insbesondere im Zeitraum der Überschreitung des Immissionsgrenzwerts, geleistet haben, sind zu berücksichtigen;
3. Maßnahmen sind vornehmlich bei den hauptverursachenden Emittenten und Emittentengruppen unter Berücksichtigung der auf sie fallenden Anteile an der Immissionsbelastung, des Reduktionspotentials und des erforderlichen Zeitraums für das Wirksamwerden der Maßnahmen zu setzen; dabei sind vorrangig solche Maßnahmen anzuordnen, bei denen den Kosten der Maßnahme eine möglichst große Verringerung der Immissionsbelastung gegenübersteht;
4. Maßnahmen sind nicht vorzuschreiben, wenn der mit der Erfüllung der Maßnahmen verbundene Aufwand außer Verhältnis zu dem mit den Anordnungen angestrebten Erfolg steht;
5. Eingriffe in bestehende Rechte sind auf das unbedingt erforderliche Maß zu beschränken; bei der Auswahl von Maßnahmen sind die jeweils gelindesten, zum Ziel führenden Mittel zu ergreifen;
6. auf die Höhe der Immissionsbelastung und die Häufigkeit der Grenzwertüberschreitungen sowie die zu erwartende Entwicklung der Emissionen des betreffenden Luftschadstoffs sowie auf eingeleitete Verfahren und angeordnete Sanierungsmaßnahmen und gebietsbezogene Maßnahmen nach diesem Bundesgesetz sowie anderen Verwaltungsvorschriften, sofern diese Einfluss auf die Immissionssituation haben, ist Bedacht zu nehmen;
(1) Eine Umweltprüfung ist durchzuführen, wenn ein Programm gemäß § 9a voraussichtlich Auswirkungen auf Natura 2000 Gebiete hat. Weiters ist eine Umweltprüfung durchzuführen, wenn ein Programm gemäß § 9a einen Rahmen für die künftige Genehmigung von Projekten festlegt und die Umsetzung des Programms voraussichtlich erhebliche Umweltauswirkungen haben wird.
(2) Wird ein Rahmen für die künftige Genehmigung von Projekten festgelegt oder werden nur geringfügige Änderungen des Programms vorgenommen, hat anhand der Kriterien der Anlage 7 Teil 1 eine Prüfung zu erfolgen, ob die Umsetzung voraussichtlich erhebliche Umweltauswirkungen haben wird. Der Landesregierung sowie dem Umweltanwalt gemäß § 2 Abs. 4 des UVP-Gesetzes wird eine Stellungnahmemöglichkeit eingeräumt.
(3) Wenn keine Umweltprüfung durchgeführt wird, hat der Landeshauptmann oder der Bundesminister für Land- und Forstwirtschaft, Umwelt und Wasserwirtschaft, falls dieser zuständig ist, die Ergebnisse der Prüfung gemäß Abs. 2 einschließlich der Gründe für die Entscheidung, keine Umweltprüfung durchzuführen, auf der Internetseite des Landes bzw. des Bundesministeriums für Land- und Forstwirtschaft, Umwelt und Wasserwirtschaft zu veröffentlichen.
(4) Ist eine Umweltprüfung durchzuführen, so hat der Landeshauptmann oder der Bundesminister für Land- und Forstwirtschaft, Umwelt und Wasserwirtschaft, falls dieser zuständig ist, einen Umweltbericht gemäß Anlage 7 Teil 2 zu erstellen. In diesem Bericht werden die voraussichtlichen erheblichen Auswirkungen der Umsetzung des Programms auf die Umwelt und mögliche Alternativen, welche die Ziele und den geografischen Anwendungsbereich des Programms berücksichtigen, ermittelt, beschrieben und bewertet. Der Umweltbericht enthält die Angaben, die vernünftigerweise verlangt werden können, und berücksichtigt den gegenwärtigen Wissensstand und aktuelle Prüfmethoden, den Inhalt und den Detaillierungsgrad des Programms und dessen Stellung im Entscheidungsprozess. Der Landesregierung und dem Umweltanwalt wird bei der Festlegung des Umfangs und Detaillierungsgrads der in den Umweltbericht aufzunehmenden Informationen eine Stellungnahmemöglichkeit eingeräumt.
(5) Der Landeshauptmann oder der Bundesminister für Land- und Forstwirtschaft, Umwelt und Wasserwirtschaft, falls dieser zuständig ist, hat den Umweltbericht gemeinsam mit dem Entwurf des Programms gemäß § 9a Abs. 1 der Öffentlichkeit auf der Internetseite des Landes bzw. des Bundesministeriums für Land- und Forstwirtschaft, Umwelt und Wasserwirtschaft zugänglich zu machen. Dies ist in zwei weit verbreiteten Tageszeitungen bekannt zu machen. In der Bekanntmachung ist darauf hinzuweisen, dass jedermann innerhalb von sechs Wochen ab der Bekanntmachung beim Landeshauptmann oder beim Bundesminister für Land- und Forstwirtschaft, Umwelt und Wasserwirtschaft, falls dieser zuständig ist, eine schriftliche Stellungnahme abgeben kann. Die Landesregierung wird auf die Stellungnahmemöglichkeit in Wahrnehmung ihrer Umwelt- und Planungskompetenz schriftlich hingewiesen. Dem Umweltanwalt wird gesondert eine Stellungnahmemöglichkeit eingeräumt. Auf den Umweltbericht und die eingelangten Stellungnahmen ist bei der Erarbeitung des Programms Bedacht zu nehmen.
(1) Wenn
1. die Umsetzung eines Programms gemäß § 9a voraussichtlich erhebliche Auswirkungen auf die Umwelt eines anderen Mitgliedstaates der Europäischen Union haben wird oder
2. ein von den Auswirkungen der Durchführung des Programms voraussichtlich erheblich betroffener Mitgliedstaat ein diesbezügliches Ersuchen stellt,
hat der Bundesminister für Land- und Forstwirtschaft, Umwelt und Wasserwirtschaft diesem Mitgliedstaat zum jeweiligen Zeitpunkt der Bekanntmachung den Umweltbericht und den Entwurf des Programms zu übermitteln. Dem anderen Mitgliedstaat ist bei der Übermittlung des Umweltberichts gemäß Z 1 eine angemessene Frist für die Mitteilung, ob er an der Umweltprüfung teilnehmen will, einzuräumen.
(2) Dem anderen Mitgliedstaat ist eine angemessene Frist einzuräumen, damit er den in ihrem umweltbezogenen Aufgabenbereich betroffenen Behörden und der Öffentlichkeit Gelegenheit zur Stellungnahme einräumen kann. Erforderlichenfalls sind Konsultationen über die voraussichtlichen grenzüberschreitenden Auswirkungen der Durchführung des Progamms auf die Umwelt und über die geplanten Maßnahmen zur Verminderung oder Vermeidung solcher Auswirkungen durchzuführen. Für die Konsultationen ist ein angemessener Zeitrahmen mit dem anderen Mitgliedstaat zu vereinbaren. Dem anderen Mitgliedstaat ist das veröffentlichte Programm und die Erklärung gemäß § 9c Abs. 6 zu übermitteln.
(3) Wird im Rahmen der Erstellung eines Plans oder Programms im Bereich der Luftreinhaltung in einem anderen Mitgliedstaat dem Bundesminister für Land- und Forstwirtschaft, Umwelt und Wasserwirtschaft der Umweltbericht oder der Entwurf eines Plans oder Programms übermittelt, so hat er die Landeshauptmänner und die Landesregierung jener Bundesländer, in denen die Durchführung des Plans erhebliche Auswirkungen auf die Umwelt haben könnte, sowie die Öffentlichkeit in diesen Bundesländern einzubeziehen. Die Einbeziehung erfolgt gemäß § 9c Abs. 5. Beim Bundesminister für Land- und Forstwirtschaft, Umwelt und Wasserwirtschaft eingelangte Stellungnahmen sind dem anderen Mitgliedstaat zu übermitteln. Erforderlichenfalls hat der Bundesminister für Land- und Forstwirtschaft, Umwelt und Wasserwirtschaft Konsultationen mit dem anderen Mitgliedstaat zu führen.
(1) Maßnahmen gemäß den §§ 13 bis 16 sind auf Grundlage des Programms gemäß § 9a vom Landeshauptmann oder Bundesminister für Land- und Forstwirtschaft, Umwelt und Wasserwirtschaft, sofern dieser gemäß § 9a Abs. 7 zuständig ist, spätestens 21 Monate nach Ablauf des Jahres, in dem die Grenzwertüberschreitung festgestellt oder die Überschreitung des AEI durch den Bundesminister für Land- und Forstwirtschaft, Umwelt und Wasserwirtschaft ausgewiesen wurde, mit Verordnung anzuordnen. In der Verordnung ist das Sanierungsgebiet, in dem die jeweilige Maßnahme gilt, festzulegen. Weiters ist anzugeben, ob die Maßnahmen direkt wirken oder von der Behörde (§ 17) mit Bescheid anzuordnen sind. Es können auch über das Programm hinausgehende Maßnahmen angeordnet werden, sofern diese nicht dem Inhalt des Programms widersprechen und nicht unverhältnismäßig in bestehende Rechte eingreifen.
(Anm.: Abs. 2 aufgehoben durch Art. 3 Z 17, BGBl. I Nr. 58/2017)
(3) Bei Erlassen der Verordnung sind die Grundsätze gemäß § 9b zu berücksichtigen.
(4) Führt eine Evaluierung eines Programms gemäß § 9a Abs. 6 zu einer nicht nur unerheblichen Überarbeitung des Programms, sind erforderlichenfalls geänderte Maßnahmen gemäß Abs. 1 mit Verordnung anzuordnen.
(1) Für Anlagen oder Anlagenkategorien gemäß § 2 Abs. 10 können folgende Maßnahmen angeordnet werden:
1. Begrenzung der Emission von Luftschadstoffen nach dem zum Zeitpunkt des Inkrafttretens der Anordnungen gemäß § 10 gültigen Stand der Technik (§ 2 Abs. 8 Z 1 AWG 2002), ausgenommen bei Anlagen, die innerhalb von fünf Jahren vor dem Inkrafttreten der Anordnungen gemäß § 10 nach dem Stand der Luftreinhaltetechnik genehmigt oder saniert worden sind;
2. andere emissionsmindernde Maßnahmen, insbesondere
a) der Einsatz emissionsarmer Brennstoffe, Stoffe, Zubereitungen und Produkte, sofern die Versorgung mit diesen sichergestellt und die Anlage zum Einsatz derselben geeignet ist und der Einsatz nicht zu einer höheren Belastung der Arbeitnehmer oder zu erhöhten Treibhausgasemissionen führt,
b) die Erstellung von Immissionsschutzplänen,
c) die Vorschreibung eines maximalen Massenstroms sowie
d) Beschränkungen oder Verbote des Einsatzes von mobilen technischen Einrichtungen, Maschinen und Geräten gemäß Abs. 3 mit hohen spezifischen Emissionen.
(2) Abs. 1 Z 1 und Z 2 lit. c sind auf Anlagen, die dem für sie in einem Gesetz oder in einer Verordnung, insbesondere gemäß § 82 Gewerbeordnung 1994, BGBl. Nr. 194, § 181 Mineralrohstoffgesetz, BGBl. I Nr. 38/1999, § 4 Emissionsschutzgesetz für Kesselanlagen, BGBl. I Nr. 150/2004, § 65 Abfallwirtschaftsgesetz 2002, BGBl. I Nr. 102 oder in einem Bescheid nach einem Verfahren gemäß §§ 79 ff Gewerbeordnung 1994, § 179 Mineralrohstoffgesetz oder § 23 Emissionsschutzgesetz für Kesselanlagen festgelegten Stand der Luftreinhaltetechnik entsprechen oder die eine gesetzliche Verpflichtung zur wiederkehrenden Anpassung an den Stand der Technik einhalten, nicht anzuwenden.
(2a) Abs. 2 gilt nicht für Anlagen, für die der Stand der Technik in einem Bundesgesetz oder einer Verordnung festgelegt ist, deren Kundmachung zum Zeitpunkt der Anordnung einer Maßnahme gemäß § 10 länger als zehn Jahre zurückliegt, es zu wesentlichen Änderungen des Standes der Technik gekommen ist und soweit diese Anlagen in den letzten 10 Jahren nicht an den zum Zeitpunkt der Sanierung oder Genehmigung der Anlage aktuellen und geänderten Stand der Technik vollständig angepasst oder nach einem solchen genehmigt wurden.
(1) Die zuständige Behörde (§ 17) hat dem Inhaber einer Anlage gemäß § 2 Abs. 10 Z 1, die in einem Sanierungsgebiet liegt und von Maßnahmen gemäß § 13 betroffen ist, erforderlichenfalls mit Bescheid aufzutragen, zur Erfüllung dieser Anordnungen innerhalb einer dem hiefür erforderlichen Zeitaufwand angemessenen Frist ein Sanierungskonzept für die Anlage vorzulegen.
(2) Ist das Sanierungskonzept (Abs. 1) zur Erfüllung der im Programm festgelegten Anforderungen geeignet, ist es von der Behörde – erforderlichenfalls unter Vorschreibung bestimmter geeigneter Auflagen – zu genehmigen. Weiters sind die für eine Änderung der Anlage geltenden Bestimmungen der Verwaltungsvorschriften anzuwenden. Dem Inhaber der Anlage ist die Verwirklichung des genehmigten Konzepts innerhalb der sich aus dem Programm gemäß § 9a ergebenden Frist aufzutragen. In den Fällen des § 17 Abs. 2 ist die nach den Verwaltungsvorschriften zuständige Behörde vor Erlassung des Bescheids zu hören.
(3) Abs. 1 und 2 gelten nicht für Anlagen, die der Gewerbeordnung 1994, dem Emissionsschutzgesetz für Kesselanlagen, dem Mineralrohstoffgesetz oder dem Abfallwirtschaftsgesetz 2002 unterliegen.
(1) Für Kraftfahrzeuge im Sinne des § 2 Abs. 1 Z 1 KFG 1967, BGBl. Nr. 267, oder für bestimmte Gruppen von Kraftfahrzeugen können Geschwindigkeitsbeschränkungen und zeitliche und räumliche Beschränkungen des Verkehrs angeordnet werden. Wenn derartige Beschränkungen Autobahnen oder Schnellstraßen betreffen, ist dem Bundesminister für Verkehr, Innovation und Technologie Gelegenheit zur Stellungnahme zu geben. Diese Beschränkungen auf Autobahnen oder Schnellstraßen können für bis zu drei Monate angeordnet werden. Darüber hinaus ist, ausgenommen bei Verordnungen gemäß Abs. 6a, das Einvernehmen mit dem Bundesminister für Verkehr, Innovation und Technologie herzustellen. Als zeitliche und räumliche Beschränkungen gelten insbesondere dauernde oder vorübergehende
1. Verbote für bestimmte Kraftfahrzeugklassen sowie Kraftfahrzeuge mit bestimmten Abgasklassen,
2. Verbote für Kraftfahrzeuge mit bestimmten Ladungen,
3. Fahrverbote für bestimmte Tage oder bestimmte Tageszeiten,
4. Anordnungen für den ruhenden Verkehr.
Zur Anordnung von Geschwindigkeitsbeschränkungen für die Dauer erhöhter Neigung zu Grenzwertüberschreitungen sowie zum optimierten Einsatz von temporären Geschwindigkeitsbeschränkungen können flexible Systeme, wie immissionsabhängige Verkehrsbeeinflussungsanlagen, verwendet werden.
(2) Zeitliche und räumliche Beschränkungen sind nicht anzuwenden auf
1. die in §§ 26, 26a Abs. 1 und 4 und 27 StVO 1960, BGBl. Nr. 159, genannten Einsatzfahrzeuge, Fahrzeuge im öffentlichen Dienst, Fahrzeuge des Straßendienstes, der Bahnerhaltung, der Wasser- und Energieversorgung, der Kanalwartung und der Müllabfuhr sowie Fahrzeuge im Einsatz im Katastrophenfall und Fahrzeuge der Feuerwehr, des Rettungs- und Krankentransportdienstes in Ausübung ihres Dienstes,
(1) An Kraftfahrzeugen, die aufgrund ihrer Einstufung in eine Abgasklasse von allfälligen Beschränkungen und Fahrverboten gemäß § 14 oder § 16 ausgenommen sind oder ausgenommen werden können, ist eine von außen erkennbare Kennzeichnung anzubringen, aus der ersichtlich ist, in welche Abgasklasse das jeweilige Fahrzeug fällt. Diese Abgasklassen-Kennzeichnung ist in Form eines Aufklebers bei Fahrzeugen mit Windschutzscheibe an der Innenseite der Windschutzscheibe dauerhaft und von außen gut lesbar anzubringen, bei Fahrzeugen ohne Windschutzscheibe in unmittelbarer Nähe der Begutachtungsplakette. Aus der Abgasklassen-Kennzeichnung muss eine Identifizierung des Fahrzeuges möglich sein.
(2) Die Abgasklassen-Kennzeichnung ist vom Erzeuger des Fahrzeuges oder seinem inländischen Bevollmächtigten gemäß § 29 Abs. 2 KFG 1967 beim Inverkehrbringen neuer Fahrzeuge anzubringen oder von gemäß § 57a KFG 1967 ermächtigten Stellen anzubringen oder auszufolgen, wenn entsprechende Nachweise erbracht werden, in welche Abgasklasse das Fahrzeug fällt. Kann nicht eindeutig belegt werden, in welche Abgasklasse das Fahrzeug fällt, so ist die Kennzeichnung für die niedrigere Klasse zu vergeben oder, wenn unklar ist, ob das Fahrzeug überhaupt in eine Abgasklasse fällt, die Ausfolgung oder Anbringung der Kennzeichnung zu versagen.
(3) Zur Herstellung der Abgasklassen-Kennzeichnungen werden die zur Herstellung von Begutachtungsplaketten gemäß § 57a Abs. 7 KFG 1967 berechtigten Hersteller ermächtigt. Die Hersteller der Abgasklassen-Kennzeichnung haben auf Grundlage der ihnen zur Verfügung gestellten Information für die korrekte Einstufung eines Kraftfahrzeuges in die entsprechende Abgasklasse Sorge zu tragen und diese Einstufung den für die Ausfolgung und Anbringung ermächtigten Stellen auf geeignete Weise zur Verfügung zu stellen. Die Abgasklassen-Kennzeichnungen dürfen nur an die zur Ausfolgung und Anbringung ermächtigten Stellen gemäß Abs. 2 geliefert werden.
(4) Der Bundesminister für Land- und Forstwirtschaft, Umwelt und Wasserwirtschaft hat durch Verordnung die näheren Bestimmungen festzulegen, insbesondere über
1. Aussehen, Abmessungen und Beschaffenheit des Materials der Kennzeichnungen für die einzelnen Abgasklassen,
2. Art der Identifizierung des Fahrzeuges (Zuordnung der Kennzeichnung zu einem bestimmten Fahrzeug),
Für Stoffe, Zubereitungen und Produkte können Anordnungen über
1. zeitliche und räumliche Beschränkungen ihres Einsatzes sowie
2. das Lagern, Ausbreiten, Ausstreuen, Umfüllen, Ausschütten, Zerstäuben, Versprühen und Entfernen in Anlagen gemäß § 2 Abs. 10 Z 3 und auf Verkehrsflächen getroffen werden,
soweit durch diese Maßnahmen die Sicherheit und Gesundheit der Bevölkerung und die land- und forstwirtschaftliche Tätigkeit für eine gesicherte Agrarproduktion nicht beeinträchtigt werden.
Ausnahmen vom Verbot des Verbrennens von Materialien außerhalb von Anlagen gemäß dem Bundesluftreinhaltegesetz, BGBl. I Nr. 77/2010, können eingeschränkt oder aufgehoben werden, sofern die Ausnahmen nicht das Verbrennen von schädlingsbefallenen biogenen Materialien betreffen.
(1) Bei Überschreitungen des Jahresmittelwerts für Stickstoffdioxid gemäß Anlage 1a um mehr als 10 µg/m 3 oder bei mehr als 35 Überschreitungen des Tagesmittelwerts für PM 10 gemäß Anlage 1a und wenn zu erwarten ist, dass trotz Anordnung und Umsetzung von Maßnahmen gemäß §§ 13 bis 15 in der Fassung dieses Bundesgesetzes BGBl. I Nr. 77/2010 weitere Überschreitungen des Jahresmittelwerts für Stickstoffdioxid gemäß Anlage 1a um mehr als 10 µg/m 3 oder mehr als 35 Überschreitungen des Tagesmittelwerts für PM 10 gemäß Anlage 1a auftreten, sind unter Beachtung der Grundsätze des § 9b Maßnahmen anzuordnen. Dabei kommen unter anderem folgende Maßnahmen in Betracht:
1. Festlegung niedrigerer Emissionsgrenzwerte und/oder geringerer Massenströme als die in den anzuwendenden Verwaltungsvorschriften oder darauf beruhenden behördlichen Anordnungen festgelegten. Diese Anordnungen müssen technisch möglich und verhältnismäßig sein;
2. Festlegung von Emissionsgrenzwerten und Massenströmen für Luftschadstoffe, deren Emissionen nach den jeweils anzuwendenden Verwaltungsvorschriften nicht begrenzt sind;
3. Beschränkungen oder Verwendungsverbote für bestimmte Brennstoffe oder Produktionsmittel mit besonders hohen spezifischen Emissionen, sofern die Versorgung mit Brennstoffen oder Produktionsmitteln mit geringen spezifischen Emissionen sichergestellt sowie der Einsatz prozesstechnisch möglich ist und nicht zu einer höheren Belastung der Arbeitnehmer führt;
4. zeitliche und räumliche Beschränkungen für Kraftfahrzeuge, ausgenommen die in Abs. 2 genannten Fahrzeuge; sowie
5. Verbote für Stoffe, Zubereitungen und Produkte, soweit dadurch die Sicherheit und Gesundheit der Arbeitnehmer nicht beeinträchtigt wird.
Unter den selben Voraussetzungen wie bei Überschreitungen des Jahresmittelwerts für Stickstoffdioxid gemäß Anlage 1a um mehr als 10 µg/m 3 oder bei mehr als 35 Überschreitungen des Tagesmittelwerts für PM
(1) Sofern Abs. 2 nicht anderes bestimmt, ist die nach den anzuwendenden bundesrechtlichen Verwaltungsvorschriften für die jeweilige Angelegenheit zuständige Behörde mit der Vollziehung der gemäß § 10 angeordneten Maßnahmen betraut. Ist die Zuständigkeit mehrerer Behörden gegeben, ist die Bezirksverwaltungsbehörde zuständig; sofern auch eine Zuständigkeit des Landeshauptmanns besteht, dieser.
(2) Erfolgt nach den anzuwendenden Verwaltungsvorschriften die Vollziehung einer Angelegenheit in unmittelbarer Bundesverwaltung, so ist für die Vollziehung der gemäß § 10 angeordneten Maßnahmen die Bezirksverwaltungsbehörde, zuständig.
(3) Die gemäß Abs. 1 und 2 zuständige Behörde kann im Einzelfall auf Antrag von den Anordnungen gemäß § 10 mit Bescheid abweichende Maßnahmen zulassen, wenn durch diese bei der betreffenden Emissionsquelle eine gleichwertige Emissionsminderung erreicht wird.
(4) Über Beschwerden gegen Bescheide der Bezirksverwaltungsbehörde oder des Landeshauptmannes entscheidet das zuständige Verwaltungsgericht.
(1) Im Sanierungsgebiet sind bei der Genehmigung von nach bundesrechtlichen Vorschriften genehmigungspflichtigen Anlagen die für diese Anlagen in Betracht kommenden Inhalte eines Programms gemäß § 9a anzuwenden. Die Genehmigungsvoraussetzungen des § 20 Abs. 2 und 3 sind einzuhalten.
(2) Abs. 1 gilt nicht für Anlagen, die der Gewerbeordnung 1994, dem Emissionsschutzgesetz für Kesselanlagen, dem Mineralrohstoffgesetz oder dem Abfallwirtschaftsgesetz 2002 unterliegen.
(1) Die Bundesregierung hat ein Programm zur fortschreitenden Verminderung der nationalen Emissionen von PM 2,5 bis 31. Dezember 2013 derart zu erstellen und umzusetzen, dass das nationale Ziel zur Reduzierung des AEI im Sinne des § 3b erreicht wird. Dieses Programm hat insbesondere auch Maßnahmen zu enthalten, die dazu beitragen, dass die Verpflichtung in Bezug auf den AEI gemäß § 3a eingehalten werden kann. Im Rahmen dieses Programms sind alle erforderlichen Maßnahmen festzulegen, die keine unverhältnismäßigen Kosten verursachen. Der Bundesminister für Land- und Forstwirtschaft, Umwelt und Wasserwirtschaft führt die Koordinierung durch.
(2) Die Bundesregierung hat bis spätestens 31. Dezember 2017 das Programm gemäß Abs. 1 zu aktualisieren und zu überarbeiten. Der Bundesminister für Land- und Forstwirtschaft, Umwelt und Wasserwirtschaft führt die Koordinierung durch.
(1) Anlagen, die nach den anzuwendenden Verwaltungsvorschriften des Bundes einer Genehmigungspflicht unterliegen, und der Neubau einer straßenrechtlich genehmigungspflichtigen Straße oder eines Straßenabschnittes bedürfen keiner gesonderten luftreinhalterechtlichen Genehmigung und es gelten die Bestimmungen der Abs. 2 und 3 als zusätzliche Genehmigungsvoraussetzungen.
(2) Emissionen von Luftschadstoffen sind nach dem Stand der Technik (§ 2 Abs. 8 Z 1 AWG 2002) zu begrenzen.
(3) Sofern in dem Gebiet, in dem eine neue Anlage oder eine emissionserhöhende Anlagenerweiterung oder ein Neubau einer straßenrechtlich genehmigungspflichtigen Straße oder eines Straßenabschnittes genehmigt werden soll, bereits mehr als 35 Überschreitungen des Tagesmittelwertes für PM 10 gemäß Anlage 1a oder eine Überschreitung
– des um 10 µg/m 3 erhöhten Jahresmittelwertes für Stickstoffdioxid gemäß Anlage 1a,
– des Jahresmittelwertes für PM 10 gemäß Anlage 1a,
– des Jahresmittelwertes für PM 2,5 gemäß Anlage 1b,
– eines in einer Verordnung gemäß § 3 Abs. 5 festgelegten Immissionsgrenzwertes,
– des Halbstundenmittelwertes für Schwefeldioxid gemäß Anlage 1a,
– des Tagesmittelwertes für Schwefeldioxid gemäß Anlage 1a,
– des Halbstundenmittelwertes für Stickstoffdioxid gemäß Anlage 1a,
(1) Anlagen gemäß § 2 Abs. 10 Z 1, die keiner bundesgesetzlichen Genehmigungspflicht unterliegen, jedoch geeignet sind, erhebliche Mengen an Luftschadstoffen zu emittieren, und unter eine Verordnung gemäß Abs. 2 fallen, bedürfen bei der Errichtung und Inbetriebnahme oder bei einer wesentlichen Änderung einer luftreinhalterechtlichen Genehmigung. Die zuständige Behörde ist die Bezirksverwaltungsbehörde.
(2) Der Bundesminister für Land- und Forstwirtschaft, Umwelt und Wasserwirtschaft kann mit Verordnung bestimmte Kategorien von Anlagen, die gemäß Abs. 1 genehmigungspflichtig sind, hinsichtlich ihrer Art, Produktionskapazität, thermischen Leistung oder Massenströme festlegen. In der Verordnung können auch Genehmigungsvoraussetzungen, insbesondere der Stand der Technik (§ 2 Abs. 8 Z 1 AWG 2002), für die genehmigungspflichtigen Anlagen oder Anlagenteile, insbesondere für Biogasanlagen, festgelegt werden. Bei der Erlassung dieser Verordnung ist von den Grundsätzen des § 9b auszugehen.
(3) Die Genehmigung gemäß Abs. 1 ist, erforderlichenfalls unter Vorschreibung bestimmter geeigneter Auflagen, zu erteilen, wenn die Voraussetzungen des § 20 Abs. 2 und 3 erfüllt sind.
(4) Die Bestimmungen der Abs. 1 bis 3 gelten nicht für Anlagen, die der Gewerbeordnung 1994, dem Emissionsschutzgesetz für Kesselanlagen oder dem Mineralrohstoffgesetz unterliegen.
(1) Anlagen, die in Anhang I der Richtlinie 2010/75/EU über Industrieemissionen (integrierte Vermeidung und Verminderung von Umweltverschmutzung), ABl. Nr. L 334 vom 17. Dezember 2010 S. 17 (IE Richtlinie), genannt sind und keiner bundesgesetzlichen Genehmigungspflicht hinsichtlich der Luftreinhaltung unterliegen, bedürfen bei Errichtung oder wesentlicher Änderung einer Genehmigung nach diesem Bundesgesetz. Die zuständige Behörde ist die Bezirksverwaltungsbehörde.
(2) Für IPPC-Anlagen sind die Bestimmungen der §§ 37 Abs. 4 Z 4, 39 Abs. 1 Z 6 und Abs. 3 Z 1 bis Z 8 und Z 10 bis Z 11, 43 Abs. 3, 47 Abs. 3, 47a und 51 Abs. 1, 2a Z 2, Abs. 3 und 4, soweit sie das Umweltmedium Luft betreffen, sowie der §§ 39 Abs. 4 und 5, 40, 43 Abs. 4 und 43a AWG 2002, BGBl. I Nr. 102/2002, sinngemäß anzuwenden. Bei Anlagen gemäß Anhang I Nummer 6.6 der IE Richtlinie gelten § 43 Abs. 3 und 4, § 47 Abs. 3 und § 47a AWG 2002 unbeschadet der Bestimmungen des Tierschutzgesetzes.
(3) Die Behörde hat das luftreinhalterechtliche Verfahren zur Genehmigung von in Abs. 1 genannten IPPC-Anlagen mit den anderen zuständigen Behörden zu koordinieren, wenn nach anderen Verwaltungsvorschriften, insbesondere nach einem landesrechtlichen IPPC-Gesetz, eine Genehmigung oder Anzeige hinsichtlich der Umweltauswirkungen der Anlage erforderlich ist.
(4) Der Inhaber einer IPPC-Anlage gemäß Abs. 1 hat jeweils innerhalb einer Frist von zehn Jahren zu prüfen, ob sich der seine Anlage betreffende Stand der Technik wesentlich geändert hat, und gegebenenfalls unverzüglich die erforderlichen wirtschaftlich verhältnismäßigen Anpassungsmaßnahmen zu treffen. Die Bestimmungen des § 57 AWG 2002 sind sinngemäß anzuwenden.
(5) Hinsichtlich der Aufzeichnungs- und Meldepflichten ist § 60 AWG 2002 sinngemäß anzuwenden.
(Anm.: Abs. 6 aufgehoben durch Art. 3 Z 25, BGBl. I Nr. 58/2017)
Zur Reduktion der verkehrsbedingten Emissionen, die zur Überschreitung eines in den Anlagen 1 und 2 oder in einer Verordnung nach § 3 Abs. 5 festgelegten Immissionsgrenzwerts beitragen, können von der Bundesregierung verkehrsspezifische Maßnahmen vorgesehen werden. Als geeignete Maßnahmen kommen insbesondere in Betracht:
1. Verbesserung oder Neuerrichtung der Verkehrsinfrastruktur (zB Kombinierter Verkehr, integrierte Verkehrsachsen),
2. ökologische Optimierung der Verkehrsabläufe,
3. Reduktion der Transporterfordernisse durch Maßnahmen, die die Notwendigkeit für Ortswechsel und insbesondere die zur Erfüllung des Wegezwecks zurückgelegten Wegstrecken reduzieren.
(1) Der Bundesminister für Land- und Forstwirtschaft, Umwelt und Wasserwirtschaft hat alle drei Jahre, erstmals 2000, dem Nationalrat einen schriftlichen Bericht über
1. den Zustand, die Entwicklung und die Prognose der Immissionen von Luftschadstoffen, für die in den Anlagen 1 oder 2 oder in einer Verordnung nach § 3 Abs. 5 Immissionsgrenzwerte festgelegt sind,
2. den Zustand, die Entwicklung und die Prognose der Emissionen, die nach diesem Bundesgesetz erhoben werden, und
3. den Erfolg der nach diesem Bundesgesetz getroffenen Maßnahmen
vorzulegen.
(2) Der Bundesminister für Land- und Forstwirtschaft, Umwelt und Wasserwirtschaft hat der Europäischen Kommission Berichte gemäß Art. 27 der Richtlinie 2008/50/EG und gemäß Art. 5 der Richtlinie 2004/107/EG über Arsen, Kadmium, Quecksilber, Nickel und polyzyklische aromatische Kohlenwasserstoffe in der Luft, ABl. Nr. L 23 vom 26. Jänner 2005 S. 3, zu übermitteln.
(3) Werden im Rahmen der Berichtspflichten der Abs. 1 und 2 Informationen, insbesondere über Pläne, Programme und Maßnahmen, benötigt, so hat der Landeshauptmann diese in geeigneter Weise dem Bundesminister für Land- und Forstwirtschaft, Umwelt und Wasserwirtschaft zur Verfügung zu stellen.
Zur flächendeckenden bundesweiten Erfassung der Emissionsquellen und des Ausmaßes der Emissionen von Luftschadstoffen hat der Bundesminister für Umwelt, Jugend und Familie jedes Kalenderjahr Emissionsbilanzen zu erstellen. Die Emissionsbilanzen sind jedenfalls für alle Luftschadstoffe, für die Immissionsgrenzwerte in den Anlagen 1 und 2 oder in einer Verordnung nach § 3 Abs. 5 festgelegt sind, zu erstellen; § 9 Abs. 3 gilt sinngemäß.
(1) Wer auf Grund bundesgesetzlicher Vorschriften oder darauf beruhender behördlicher Anordnungen verpflichtet ist, die Emissionen aus seiner Anlage zu messen, hat die Art und Menge der jährlichen Emissionen bis spätestens 30. April des Folgejahres an jene Behörde, die die Einhaltung dieser Verpflichtung zu überwachen hat, zu melden, wenn die Anlage in einem Sanierungsgebiet gemäß einer Verordnung nach § 10 liegt. Die Behörde hat die gemeldeten Daten auf Verlangen an den Landeshauptmann des Landes, in dem die Anlage betrieben wird, sowie an den Bundesminister für Umwelt, Jugend und Familie zu übermitteln.
(2) Der Verpflichtung nach Abs. 1 kann durch die Vorlage einer Emissionserklärung gemäß § 38 Emissionsschutzgesetz für Kesselanlagen 2013, BGBl. I Nr. 127/2013 nachgekommen werden.
(1) Soweit dies zur Vollziehung dieses Bundesgesetzes erforderlich ist, sind die Organe der mit der Vollziehung betrauten Behörden (§ 17) im Rahmen ihrer Zuständigkeiten sowie die von diesen herangezogenen amtlichen und nicht amtlichen Sachverständigen befugt, Liegenschaften und Anlagen zu betreten, um Emissionsmessungen durchzuführen oder Emissionsmessungen und deren Auswertung oder das Emissionsverhalten der Anlage, das durch die Betriebsweise beeinflusst wird, sofern gemäß diesem Bundesgesetz Vorschriften über die Betriebsweise festgelegt sind, zu überprüfen; der Zutritt zu diesen Orten ist ihnen zu gestatten. Den Organen der Behörde sowie den von diesen herangezogenen amtlichen und nichtamtlichen Sachverständigen sind auf Verlangen emissionsbezogene Unterlagen, wie Meßergebnisse, vorzulegen und die notwendigen Auskünfte zu erteilen.
(2) Die Behörden und deren Organe gemäß Abs. 1 haben jede nicht unbedingt erforderliche Störung oder Behinderung des Betriebs zu vermeiden.
(3) Der Zutritt zu militärischen Liegenschaften bedarf der vorherigen Herstellung des Einvernehmens mit der zuständigen militärischen Dienststelle.
(1) Der Landeshauptmann hat auf Grund der Überschreitung eines Alarmwerts gemäß Anlage 4 die Bevölkerung in dem betroffenen Gebiet über das Vorliegen dieser Überschreitung zu informieren.
(2) Die Information hat zumindest folgende Angaben zu enthalten:
1. Datum, Uhrzeit und Ort der Überschreitung sowie die Gründe für diese Überschreitung, sofern bekannt;
2. Vorhersagen über
a) Änderungen der Konzentration (Verbesserung, Stabilisierung oder Verschlechterung) sowie die Gründe für diese Änderung,
b) den betroffenen geographischen Bereich,
c) Dauer der Überschreitung;
3. gegen die Überschreitung besonders empfindliche Personengruppen;
4. von den betroffenen empfindlichen Personengruppen vorbeugend zu ergreifende Maßnahmen.
(3) Der Landeshauptmann hat sich für die Information gemäß Abs. 1 jedenfalls des Österreichischen Rundfunks, der die Bekanntgabe regelmäßig zu wiederholen hat, zu bedienen. Er kann sich auch anderer Mittel der Verlautbarung, beispielsweise elektronischer Medien, bedienen.
(4) Sobald die Alarmwerte gemäß Anlage 4 an allen Messstellen innerhalb eines Belastungsgebietes nicht mehr überschritten werden, hat der Landeshauptmann die Bevölkerung darüber in gleicher Weise zu informieren.
(1) Der Bundesminister für Land- und Forstwirtschaft, Umwelt und Wasserwirtschaft hat innerhalb von sechs Monaten nach In-Kraft-Treten dieses Bundesgesetzes mit Verordnung (Aktionsplan) die Maßnahmen festzulegen, die im Fall der Gefahr einer Überschreitung der Alarmwerte gemäß Anlage 4 kurzfristig zu ergreifen sind, um die Gefahr der Überschreitung zu verringern und deren Dauer zu beschränken. Dieser Plan kann Maßnahmen zur Kontrolle und, soweit erforderlich, zur Beschränkung jener Tätigkeiten vorsehen, die zu einer Überschreitung der Alarmwerte beitragen, einschließlich des Kraftfahrzeugverkehrs.
(2) Im Falle der Überschreitung eines Alarmwerts gemäß Anlage 4 hat der Landeshauptmann die erforderlichen Maßnahmen durch Verordnung oder Bescheid in Kraft zu setzen.
(1) Zur Reduktion jener Emissionen im Ausland, die zur Überschreitung eines in den Anlagen 1 und 2 oder in einer Verordnung nach § 3 Abs. 5 festgelegten Immissionsgrenzwerts im Inland beitragen, ist der Abschluß völkerrechtlicher Vereinbarungen anzustreben.
(2) Beim Abschluß völkerrechtlicher Vereinbarungen, die für den Immissionsschutz von Bedeutung sind, ist auf die Ziele dieses Bundesgesetzes (§ 1) Bedacht zu nehmen.
(1) Sofern die Tat nicht den Tatbestand einer mit gerichtlicher Strafe bedrohten Handlung bildet, begeht eine Verwaltungsübertretung und ist zu bestrafen
1. mit Geldstrafe bis zu 36 340 Euro, wer einen gemäß § 13a Abs. 2 erteilten Auftrag nicht oder nicht fristgerecht befolgt oder eine Anlage gemäß § 21a Abs. 1 oder eine Anlage gemäß einer Verordnung nach § 21 ohne Genehmigung errichtet oder eine wesentliche Änderung vornimmt;
2. mit Geldstrafe bis zu 7 270 Euro, wer einer Anordnung in einer Verordnung nach § 10, ausgenommen Anordnungen gemäß §§ 14 und 16 Abs. 1 Z 4, oder nach § 13 Abs. 3, den Bestimmungen des § 21a Abs. 4 und 6 oder einer Anordnung gemäß § 26b Abs. 2 zuwiderhandelt oder wer zur Erlangung einer Ausnahmegenehmigung gemäß § 14 Abs. 2 Z 4 falsche Angaben macht oder eine Kennzeichnung gemäß § 14 Abs. 4 oder § 14a Abs. 4 missbräuchlich verwendet;
3. mit Geldstrafe bis zu 3 630 Euro, wer
a) einem Auftrag der Behörde zur Vorlage eines Sanierungskonzepts gemäß § 13a Abs. 1 nicht oder nicht fristgerecht nachkommt,
b) die Erteilung von Auskünften gemäß §§ 9 Abs. 3 und 25 verweigert oder die Auskünfte nicht fristgerecht erteilt,
c) eine gemäß § 25 vorgesehene Emissionserklärung nicht oder nicht fristgerecht abgibt,
d) die Organe der zuständigen Behörden an der Ausübung der in § 26 vorgesehenen Kontrollbefugnisse hindert,
(1) Durch dieses Bundesgesetz wird das Ozongesetz, BGBl. Nr. 210/1992, in der jeweils geltenden Fassung nicht berührt.
(2) Maßnahmen nach den §§ 13 bis 16 sind auf spezifisch militärisches Gerät, auf spezifisch militärische Bauten und Anlagen sowie auf Vorhaben, die bei Einsätzen des Bundesheeres gemäß § 2 Abs. 1 lit. a bis c Wehrgesetz 2001, BGBl. I Nr. 146, und bei der unmittelbaren Vorbereitung solcher Einsätze zwingend erforderlich sind, nicht anzuwenden.
Der Landeshauptmann ist berechtigt, gegen Beschlüsse und Erkenntnisse eines Verwaltungsgerichts in Beschwerdeverfahren gegen Bescheide gemäß § 30 Revision wegen Rechtswidrigkeit an den Verwaltungsgerichtshof zu erheben.
Soweit in diesem Bundesgesetz auf andere Bundesgesetze verwiesen wird und nicht anderes angegeben ist, sind diese in ihrer jeweils geltenden Fassung anzuwenden.
Mit der Vollziehung dieses Bundesgesetzes ist betraut:
1. hinsichtlich der §§ 19, 22, 28 und 29 die Bundesregierung,
2. hinsichtlich der § 3 Abs. 6, § 13 Abs. 3 und Anlage 1a der Bundesminister für Land- und Forstwirtschaft, Umwelt und Wasserwirtschaft im Einvernehmen mit dem Bundesminister für Wirtschaft, Familie und Jugend,
3. hinsichtlich des § 14 Abs. 1 und 6d der Bundesminister für Land- und Forstwirtschaft, Umwelt und Wasserwirtschaft im Einvernehmen mit dem Bundesminister für Verkehr, Innovation und Technologie, und
4. im Übrigen der Bundesminister für Land- und Forstwirtschaft, Umwelt und Wasserwirtschaft.
Durch dieses Bundesgesetz werden die Richtlinie 1996/62/EG des Rates vom 27. September 1996 über die Beurteilung und Kontrolle der Luftqualität, die Richtlinie 1999/30/EG des Rates vom 22. April 1999 über Grenzwerte für Schwefeldioxid, Stickstoffdioxid und Stickstoffoxide, Partikel und Blei in der Luft, die Richtlinie 2000/69/EG des Europäischen Parlaments und des Rates vom 16. November 2000 über Grenzwerte für Benzol und Kohlenmonoxid in der Luft umgesetzt, sofern und solange sie nicht durch die RL 2008/50/EG aufgehoben wurden. Darüber hinaus werden durch dieses Bundesgesetz, die Richtlinie 2004/107/EG des Europäischen Parlaments und des Rates über Arsen, Kadmium, Quecksilber, Nickel und polyzyklische aromatische Kohlenwasserstoffe in der Luft, die Richtlinie 2001/42/EG des Europäischen Parlaments und des Rates über die Prüfung der Umweltauswirkungen bestimmter Pläne und Programme sowie die Richtlinie 2008/50/EG sowie die Richtlinie 2003/35/EG über die Beteiligung der Öffentlichkeit an der Ausarbeitung bestimmter umweltbezogener Pläne und Programme umgesetzt.
Die in diesem Bundesgesetz verwendeten Funktionsbezeichnungen sind geschlechtsneutral zu verstehen.
zu § 3 Abs. 1
Als Immissionsgrenzwert der Konzentration zum dauerhaften Schutz der menschlichen Gesundheit in ganz Österreich gelten die Werte in nachfolgender Tabelle:
Konzentrationswerte in µg/m 3 (ausgenommen CO: angegeben in mg/m 3 ; Arsen, Kadmium, Nickel, Benzo(a)pyren: angegeben in ng/m 3 )
| Luftschadstoff | HMW | MW8 | TMW | JMW |
| Schwefeldioxid | 200 *) | 120 | ||
| Kohlenstoffmonoxid |
zu § 3 Abs. 1
Als Immissionsgrenzwert der Deposition zum dauerhaften Schutz der menschlichen Gesundheit in ganz Österreich gelten die Werte in nachfolgender Tabelle:
| Luftschadstoff | Depositionswerte in mg/(m 2 * d) als Jahresmittelwert |
| Staubniederschlag | 210 |
| Blei im Staubniederschlag | 0,100 |
| Cadmium im Staubniederschlag | 0,002 |
zu § 3 Abs. 2
Als Alarmwerte gelten nachfolgende Werte:
Schwefeldioxid:
500 µg/m 3 , als gleitender Dreistundenmittelwert gemessen.
Stickstoffdioxid:
400 µg/m 3 , als gleitender Dreistundenmittelwert gemessen.
zu § 3 Abs
Als Zielwert der Konzentration von Stickstoffdioxid gilt der Wert von 80 µg/m 3 als Tagesmittelwert.
(Anm.: Anlagen 5b und 5c aufgehoben durch Art. 3 Z 37, BGBl. I Nr. 58/2017)
a) Eine Überschreitung eines Immissionsgrenzwerts eines bestimmten Luftschadstoffes liegt unter Berücksichtigung der festgelegten Überschreitungsmöglichkeiten und Toleranzmargen dann vor, wenn bei einem Immissionsgrenzwert auch nur ein Messwert oder ein errechneter Wert numerisch größer als der Immissionsgrenzwert ist. Ein Messwert ist dann größer als der Immissionsgrenzwert, wenn die letzte Stelle des Immissionsgrenzwerts um die Ziffer „1“ überschritten wird; sind die Messwerte um eine Stelle genauer angegeben, ist der Immissionsgrenzwert überschritten, wenn diese Stelle größer/gleich der Ziffer „5“ ist.
b) Die Konzentrationswerte für gasförmige Luftschadstoffe sind auf 20 °C und 1 013 hPa zu beziehen.
c) Die Berechnung der zur Beurteilung erforderlichen Mittelwerte hat gemäß folgender Tabelle zu erfolgen:
Mindestanzahl der gültigen Halbstundenmittelwerte (HMW) bzw. Tagesmittelwerte (TMW) zur Berechnung von Kennwerten:
| Kennwert | Mindestanzahl der HMW |
| Dreistundenmittelwert (MW3) | 4 |
| Achtstundenmittelwert (MW8) | 12 |
| Tagesmittelwert (TMW) |
Kriterien für die Prüfung, ob die Durchführung des Programms gemäß § 9a erhebliche Auswirkungen auf die Umwelt haben wird
1. Merkmale des Programms, insbesondere in Bezug auf – das Ausmaß, in dem das Programm für Projekte und andere
Tätigkeiten in Bezug auf Standort, Art, Größe und Betriebsbedingungen oder durch die Inanspruchnahme von Ressourcen einen Rahmen setzt,
– das Ausmaß, in dem das Programm andere Pläne und Programme –
einschließlich solcher in einer Planungs- oder Programmhierarchie – beeinflusst,
– die Bedeutung des Programms für die Einbeziehung der Umwelterwägungen, insbesondere im Hinblick auf die Förderung der nachhaltigen Entwicklung,
– die für das Programm relevanten Umweltprobleme, – die Bedeutung des Programms für die Durchführung der
gemeinschaftsrechtlichen Umweltvorschriften.
2. Merkmale der Auswirkungen und der voraussichtlich betroffenen Gebiete, insbesondere in Bezug auf
– die Wahrscheinlichkeit, Dauer, Häufigkeit und Umkehrbarkeit der Auswirkungen,
– den kumulativen Charakter der Auswirkungen,
zu § 3 Abs. 4, § 3a, § 7 Abs. 2 und § 9a Abs. 2
Als Verpflichtung in Bezug auf den AEI (§ 2 Abs. 23) gilt der Wert von 20 µg/m 3 . Der AEI wird berechnet als Durchschnittswert über alle Jahresmittelwerte der Messstellen, die gemäß der Verordnung gemäß § 4 zur Berechnung des AEI herangezogen werden.
Die Ausweisung der Überschreitung nach § 7 Abs. 2 wird für die folgenden Jahre geprüft und durchgeführt (die erste Prüfung wird ausnahmsweise nicht über einen Drei-, sondern über einen Zweijahreszeitraum durchgeführt):
1. 2009, 2010
2. 2009, 2010, 2011
3. 2010, 2011, 2012
4. 2011, 2012, 2013
5. 2012, 2013, 2014
6. 2013, 2014, 2015
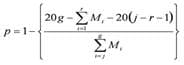
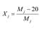
Zur Berechnung der einzelnen Verpflichtungen wird folgender Algorithmus herangezogen:
(1) Die Durchschnittsmesswerte – berechnet über die jeweiligen Jahre – werden für alle Messstationen aufsteigend angeordnet. Die Zahl der Messstellen insgesamt ist g, die Zahl der Messstellen mit einem Durchschnittswert von maximal 20 µg/m³ ist r.
(2) Beginnend mit der Messstelle mit dem niedrigsten Durchschnittsmesswert über 20 µg/m³ wird für jedes j
j = r+1, r+2, …, g
der Reihe nach folgende Berechung durchgeführt:
![]()
M j … Durchschnittsmesswert über die jeweiligen Jahre an der Station j
![]()
(1) Sofern Abs. 2 nicht anderes bestimmt, tritt dieses Bundesgesetz sechs Monate nach dem seiner Kundmachung folgenden Monatsersten in Kraft.
(2) § 8 des Artikels I dieses Bundesgesetzes tritt hinsichtlich des Immissionsgrenzwertes für Benzol der Anlage 1 am 1. Jänner 2000 und hinsichtlich der Anlage 2 am 1. Jänner 2003 in Kraft.
(3) Der Immissionsgrenzwert für Schwebestaub gemäß Anlage 1 tritt am 31. Dezember 2004 außer Kraft.
(3a) § 17 Abs. 2 und 4 in der Fassung des Verwaltungsreformgesetzes 2001, BGBl. I Nr. 65/2002, tritt mit 1. Juli 2002, jedoch nicht vor dem vierten der Kundmachung des Verwaltungsreformgesetzes 2001 folgenden Monatsersten in Kraft. Die zum In-Kraft-Tretens-Zeitpunkt anhängigen Verfahren sind nach der vorher geltenden Rechtslage weiterzuführen.
(4) Verordnungen auf Grund dieses Bundesgesetzes können bereits ab dem seiner Kundmachung folgenden Tag erlassen werden, sie dürfen frühestens mit dem Geltungsbeginn dieses Bundesgesetzes in Kraft gesetzt werden.
(5) Die §§ 13 Abs. 2, 18 Abs. 2, 19 Abs. 3, 20 Abs. 4 und 21 Abs. 4 in der Fassung des Bundesgesetzes BGBl. I Nr. 102/2002 treten mit 1. Juli 2002, jedoch nicht vor dem vierten der Kundmachung folgenden Monatszweiten in Kraft.
(6) Anlage 5b tritt mit 1. Jänner 2007 in Kraft.
(7) Das Inhaltsverzeichnis zu Art. I, Art. I § 1 Abs. 1, § 2, § 3 samt Überschrift, § 3a samt Überschrift, § 3b samt Überschrift, § 4, § 5 Abs. 1 und 2, § 7, § 8, § 9 Abs. 3, § 9a, § 9b Z 4, § 9c Abs. 7, § 10, § 13, § 13a Abs. 1, § 14 samt Überschrift, § 14a samt Überschrift, § 15, § 15a, § 16, 5a. Abschnitt, § 20, § 21 Abs. 2, die Überschrift zu § 21a, § 21a Abs. 1, § 22, § 23, § 24, § 27, § 28 Abs.1, § 30 Abs. 1, § 31a samt Überschrift, § 33 und § 34 sowie die Anlagen 1, 4, 5 und 8 in der Fassung des Bundesgesetzes BGBl. I Nr. 77/2010 treten mit Ablauf des Tages der Kundmachung des genannten Bundesgesetzes in Kraft; gleichzeitig tritt § 10a samt Überschrift außer Kraft.
(8) Die Inhaltsübersicht, Art. I § 3 Abs. 3, § 5 Abs. 2, § 7 Abs. 1, § 8 Abs. 1, 1a, 2, 3 und 7 Z 3, § 9a Abs. 1, 1a, 8 und 10, § 10 Abs. 1 und 3a, § 14 Abs. 2a und 7, § 14a Abs. 1, § 17 Abs. 4, § 20 Abs. 3, § 21a Abs. 1 und 2, § 23 Abs. 1 Z 1, § 25 Abs. 2, § 30 Abs. 1 Z 4 und letzter Satz, § 31a samt Überschrift und § 33 Z 3 sowie die Anlagen 1a, 1b und 6 in der Fassung des Verwaltungsreformgesetzes BMLFUW, BGBl. I Nr. 58/2017, treten mit Ablauf des Tages der Kundmachung in Kraft. Gleichzeitig treten Art. I § 10 Abs. 2, § 21a Abs. 6, der 7. Abschnitt, § 29 sowie die Anlagen 5b und 5c außer Kraft.
Alle gemäß § 17 SmogG mit Mitteln des Bundes angeschafften Geräte und Einrichtungen werden ins Eigentum der Länder übertragen mit der Auflage, diese Geräte und Einrichtungen an Messstellen gemäß § 5 Immissionsschutzgesetz-Luft, BGBl. I Nr. 115/1997, einzusetzen.
(1) Ziele dieses Bundesgesetzes sind
1. der dauerhafte Schutz der Gesundheit des Menschen, des Tier- und Pflanzenbestands, ihrer Lebensgemeinschaften, Lebensräume und deren Wechselbeziehungen sowie der Kultur- und Sachgüter vor schädlichen Luftschadstoffen sowie der Schutz des Menschen vor unzumutbar belästigenden Luftschadstoffen;
2. die vorsorgliche Verringerung der Immission von Luftschadstoffen und
3. die Bewahrung der besten mit nachhaltiger Entwicklung verträglichen Luftqualität in Gebieten, die bessere Werte für die Luftqualität aufweisen als die in den Anlagen 1, 2 und 5 oder in einer Verordnung gemäß § 3 Abs. 5 genannten Immissionsgrenz- und -zielwerte, sowie die Verbesserung der Luftqualität durch geeignete Maßnahmen in Gebieten, die schlechtere Werte für die Luftqualität aufweisen als die in den Anlagen 1, 2 und 5 oder in einer Verordnung gemäß § 3 Abs. 5 genannten Immissionsgrenz- und -zielwerte.
(2) Zur Erreichung dieser Ziele (Abs. 1) wird ein Instrumentarium insbesondere zur vorsorglichen Verringerung der Immission von Luftschadstoffen und für gebietsbezogene Maßnahmen zur Verringerung der durch den Menschen beeinflußten (anthropogenen) Emission und der Immission von Luftschadstoffen geschaffen.
(9) Beurteilungszeitraum im Sinne dieses Bundesgesetzes ist jener Zeitraum, der für eine umfassende Beschreibung der Immissionssituation erforderlich ist; dieser ist getrennt nach Luftschadstoffen im Messkonzept gemäß § 4 festzulegen und beträgt ein Kalenderjahr oder das Winter- oder Sommerhalbjahr, sofern in einem der Halbjahre erfahrungsgemäß höhere Konzentrationen eines Luftschadstoffs auftreten. Das Winterhalbjahr umfasst die Monate Oktober bis März, das Sommerhalbjahr die Monate April bis September.
(10) Anlagen im Sinne dieses Bundesgesetzes sind
1. ortsfeste Einrichtungen, die Luftschadstoffe emittieren, ausgenommen ortsfeste eisenbahntechnische Einrichtungen und Eisenbahnanlagen gemäß § 10 des Eisenbahngesetzes 1957, BGBl. Nr. 60 in der jeweils geltenden Fassung, sofern es sich nicht um Heizungsanlagen in Eisenbahnanlagen handelt,
2. mobile technische Einrichtungen, Maschinen und Geräte, die Luftschadstoffe emittieren, soweit sie nicht als Kraftfahrzeuge im Sinne des § 2 Abs. 1 Z 1 des Kraftfahrgesetzes 1967 (KFG 1967), BGBl. Nr. 267 in der jeweils geltenden Fassung, zur Fortbewegung auf Straßen mit öffentlichem Verkehr verwendet werden, ausgenommen
a) Schienenfahrzeuge im Sinne des Eisenbahngesetzes 1957, BGBl. Nr. 60, in der jeweils geltenden Fassung, und Luftfahrzeuge im Sinne des § 11 Abs. 1 des Luftfahrtgesetzes, BGBl. Nr. 253/1957, in der jeweils geltenden Fassung,
b) Fahrzeuge der Land- und Forstwirtschaft in Ausübung einer land- oder forstwirtschaftlichen Haupttätigkeit und
c) Fahrzeuge im Sinne des § 2 Z 1 des Schifffahrtsgesetzes, BGBl. I Nr. 62/1997, in der jeweils geltenden Fassung,
3. Liegenschaften, auf denen Stoffe gelagert oder abgelagert oder Arbeiten durchgeführt werden oder sonstigen Tätigkeiten nachgegangen wird, die Emissionen von Luftschadstoffen verursachen, ausgenommen Verkehrswege.
(11) Emissionskataster im Sinne dieses Bundesgesetzes ist ein räumlich gegliedertes Verzeichnis über das Ausmaß von Emissionen sämtlicher in Betracht kommender Emittenten und Emittentengruppen, die in einem bestimmten Gebiet innerhalb eines festgelegten Zeitabschnitts abgegeben werden.
(12) Heizungsanlagen im Sinne dieses Bundesgesetzes sind Heizungsanlagen, die gemäß Art. 10 Abs. 1 Z 12 Bundes-Verfassungsgesetz, in der Fassung BGBl. Nr. 685/1988, in die Zuständigkeit der Länder fallen.
(13) Toleranzmarge im Sinne dieses Bundesgesetzes bezeichnet das Ausmaß, in dem der Immissionsgrenzwert innerhalb der in Anlage 1 festgesetzten Fristen überschritten werden darf, ohne die Erstellung von Statuserhebungen (§ 8) und Programmen (§ 9a) zu bedingen.
(14) Zielwert gemäß Anlage 5 oder einer Verordnung nach § 3 Abs. 5 ist die nach Möglichkeit in einem bestimmten Zeitraum zu erreichende Immissionskonzentration, die mit dem Ziel festgelegt wird, die schädlichen Einflüsse auf die menschliche Gesundheit und die Umwelt insgesamt zu vermeiden, zu verhindern oder zu verringern.
(15) Der Ausdruck Arsen, Kadmium, Nickel und Benzo(a)pyren im Sinne dieses Bundesgesetzes bezeichnet den Gesamtgehalt dieser Elemente und Verbindungen in der PM 10 -Fraktion.
(16) Polyzyklische aromatische Kohlenwasserstoffe im Sinne dieses Bundesgesetzes sind organische Verbindungen, die sich aus mindestens zwei miteinander verbundenen aromatischen Ringen zusammensetzen, die ausschließlich aus Kohlenstoff und Wasserstoff bestehen.
(17) Quecksilber im Sinne dieses Bundesgesetzes ist elementarer Quecksilberdampf (Hg 0 ) und reaktives gasförmiges Quecksilber.
(18) Alarmwert im Sinne dieses Bundesgesetzes ist ein Wert, bei dessen Überschreitung bei kurzfristiger Exposition ein Risiko für die Gesundheit der Bevölkerung insgesamt besteht und unverzüglich Maßnahmen ergriffen werden müssen.
(19) Der AEI (Average Exposure Indicator, Indikator für die durchschnittliche Exposition) ist ein anhand von Messungen an Messstellen für den städtischen Hintergrund ermittelter Durchschnittswert für die Exposition der Bevölkerung durch PM 2,5 . Er wird als gleitender Jahresmittelwert der Konzentration für drei Kalenderjahre berechnet.
(20) Der AEI 2011 ist der AEI berechnet über die Kalenderjahre 2009, 2010 und 2011.
(21) Der AEI 2015 ist der AEI berechnet über die Kalenderjahre 2013, 2014 und 2015.
(22) Der AEI 2020 ist der AEI berechnet über die Kalenderjahre 2018, 2019 und 2020.
(23) Verpflichtung in Bezug auf den AEI ist ein Niveau, das der AEI 2015 erreichen muss.
(24) Messstellen für den städtischen Hintergrund im Sinne dieses Bundesgesetzes sind Standorte in städtischen Gebieten des Bundesgebiets, an denen die Messwerte repräsentativ für die Exposition der allgemeinen städtischen Bevölkerung sind.
7. Angaben über Meßverfahren und technische Anforderungen an die Meßgeräte;
8. nähere Vorschriften über
a) den Betrieb der Meßstellen,
b) die Auswertung und Dokumentation der Meßdaten sowie deren Austausch und Veröffentlichung,
c) die Fristen zur Erstellung, die Form und den Inhalt von Tages-, Monats- und Jahresberichten;
9. Angaben über die Ausstattung von Meßstellen und Meßzentralen;
10. Angaben über die Qualitätssicherung der Meßdaten;
11. Festlegung des Beurteilungszeitraums (§ 2 Abs. 9);
12. Angaben über die Durchführung der Vorerkundung (§ 5 Abs. 2).
3. die Feststellung und Beschreibung der in Betracht kommenden Emittenten oder Emittentengruppen, die einen erheblichen Beitrag zur Immissionsbelastung geleistet haben, und eine Abschätzung ihrer Emissionen,
4. die Feststellung des voraussichtlichen Sanierungsgebiets (§ 2 Abs. 8) und
5. Angaben gemäß Anhang XV Abschnitt A Z 1 bis 6 der Richtlinie 2008/50/EG.
(3) Der Landeshauptmann hat für jeden in den Anlagen 1 oder 2 oder in einer Verordnung gemäß § 3 Abs. 5 festgelegten Luftschadstoff eine eigene Statuserhebung zu erstellen. Überschreitungen eines Immissionsgrenzwerts für denselben Luftschadstoff an zwei oder mehreren Messstellen können in einer Statuserhebung zusammengefasst werden. Überschreitungen der Immissionsgrenzwerte für PM 10 , PM 2,5 , Arsen, Kadmium, Nickel und Benzo(a)pyren können in einer gemeinsamen Statuserhebung zusammengefasst werden, wenn sie sich im gleichen Beurteilungszeitraum ereignet haben.
(3a) Ergibt eine Statuserhebung, dass die Immissionen zumindest in einem erheblichen Ausmaß durch Emissionen in einem anderen Bundesland verursacht wurden, hat der Landeshauptmann des Bundeslandes, in dem die Überschreitung stattgefunden hat, den Landeshauptmann des verursachenden Bundeslandes nach Möglichkeit bereits während der Erstellung der Statuserhebung, spätestens aber unverzüglich nach deren Fertigstellung, darüber zu informieren. Dieser hat auf der Grundlage der Statuserhebung des betroffenen Bundeslandes – falls dies nicht ausreichend ist, nach Erstellung einer eigenen Statuserhebung – ein Programm gemäß § 9a zu erstellen und die erforderlichen Maßnahmen zu ergreifen.
(4) Ist absehbar, dass sich das Sanierungsgebiet über zwei oder mehrere Länder erstreckt, haben die Landeshauptmänner der betroffenen Länder eine gemeinsame Statuserhebung zu erstellen.
(5) Der Landeshauptmann hat die Statuserhebung unverzüglich den in ihrem Wirkungsbereich berührten Bundesministern und den gesetzlich eingerichteten Interessenvertretungen auf Landesebene zur Kenntnis zu bringen. Innerhalb einer Frist von sechs Wochen können die genannten Behörden und Interessenvertretungen eine schriftliche Stellungnahme an den Landeshauptmann abgeben.
(6) Die Statuserhebung ist bei den Gemeinden, die innerhalb des voraussichtlichen Sanierungsgebiets (Abs. 2 Z 4) liegen, zur öffentlichen Einsicht aufzulegen. Jedermann kann innerhalb einer Frist von sechs Wochen eine schriftliche Stellungnahme an den Landeshauptmann abgeben.
(7) Die Erstellung einer Statuserhebung kann unterbleiben, wenn für den betreffenden Luftschadstoff
1. bereits eine Statuserhebung erstellt wurde,
2. die Emissionssituation sich nicht wesentlich geändert hat,
3. die Überschreitung des Immissionsgrenzwerts an einer Messstelle innerhalb des ermittelten (Abs. 2 Z 4) oder ausgewiesenen Sanierungsgebiets (§ 9a Abs. 1) auftritt und
4. sich die Immissionssituation in diesem Gebiet nicht wesentlich verschlechtert hat.
(8) Wenn das Messkonzept gemäß § 4 für einen Luftschadstoff nur ein Untersuchungsgebiet (§ 2 Abs. 7) ausweist, ist die Statuserhebung vom Bundesminister für Land- und Forstwirtschaft, Umwelt und Wasserwirtschaft zu erstellen.
(9) Bei Überschreitung der Immissionszielwerte gemäß einer Verordnung gemäß § 3 Abs. 5 kann der Landeshauptmann eine Statuserhebung erstellen.
________________
(Anm. 1: Art. 3 Z 10 des BGBl. I Nr. 58/2017 lautet: „ In § 8 Abs. 2 entfällt die Wortfolge „oder eines Immissionszielwerts gemäß Anlage 5b oder 5c“ .“ Die zu entfallende Wortfolge lautet richtig: „oder Immissionszielwerts gemäß Anlage 5b oder 5c“.
– des Jahresmittelwertes für PM 10 gemäß Anlage 1a,
– des Jahresmittelwertes für PM 2,5 gemäß Anlage 1b,
– eines in einer Verordnung gemäß § 3 Abs. 5 festgelegten Immissionsgrenzwertes,
– des Halbstundenmittelwertes für Schwefeldioxid gemäß Anlage 1a,
– des Tagesmittelwertes für Schwefeldioxid gemäß Anlage 1a,
– des Halbstundenmittelwertes für Stickstoffdioxid gemäß Anlage 1a,
– des Grenzwertes für Blei in PM 10 gemäß Anlage 1a oder
– des Grenzwertes für Arsen, Kadmium, Nickel oder Benzo(a)pyren gemäß Anlage 1a
gewährleistet wird oder im Fall des § 8 Abs. 1a der Verpflichtung in Bezug auf den AEI nachgekommen wird. Bei Überschreitung des AEI hat der Landeshauptmann Maßnahmen festzulegen, die in dem Programm gemäß § 19 enthalten sind. Im Programm hat der Landeshauptmann das Sanierungsgebiet (§ 2 Abs. 8) festzulegen. Ein Entwurf des Programms sowie die seiner Erstellung zugrundeliegenden Studien und wesentlichen Grundlagen sind längstens 18 Monate nach Ablauf des Jahres, in dem die Überschreitung eines Immissionsgrenzwerts stattgefunden hat, auf der Internetseite des Landes zu veröffentlichen. Falls der Entwurf vorsieht, Maßnahmen gemäß dem 4. Abschnitt mit Verordnung gemäß § 10 vorzuschreiben, ist der Entwurf für diese Verordnung zusammen mit dem Entwurf des Programms auf der Internetseite des Landes zu veröffentlichen. Jedermann kann zum Entwurf des Programms binnen sechs Wochen Stellung nehmen. Die in ihrem Wirkungsbereich berührten Bundesminister sowie die gesetzlich eingerichteten Interessenvertretungen sind von der Veröffentlichung des Entwurfs und der Möglichkeit zur Stellungnahme in Kenntnis zu setzen. Die Stellungnahmen sind bei der Erstellung des Programms in angemessener Weise zu berücksichtigen.
(1a) Innerhalb von acht Wochen nach der Kundmachung des Programms gemäß Abs. 8 können natürliche Personen, die von der Überschreitung eines Grenzwerts gemäß Abs. 1 unmittelbar betroffen sind, sowie nach § 19 Abs. 7 des Umweltverträglichkeitsprüfungsgesetzes 2000 (UVP G 2000), BGBl. Nr. 697/1993, in der jeweils geltenden Fassung, anerkannte Umweltorganisationen im Rahmen ihrer örtlichen Anerkennung, beim Landeshauptmann einen begründeten Antrag auf Überprüfung des Programms in Hinblick auf die Eignung der darin enthaltenen Maßnahmen in ihrer Gesamtheit, die ehestmögliche Einhaltung der in Abs. 1 normierten Grenzwerte sicherzustellen, stellen. Über diesen Antrag hat der Landeshauptmann mit Bescheid zu entscheiden.
(2) Die Errechnung des Beitrags zur Einhaltung der Verpflichtung in Bezug auf den AEI in den Programmen der Landeshauptmänner, in deren Bundesland sich eine Messstelle zur Messung des AEI befindet, hat gemäß Anlage 8 zu erfolgen.
(3) Das Programm kann insbesondere folgende Maßnahmen umfassen:
1. Maßnahmen gemäß Abschnitt 4,
2. Maßnahmen im Bereich der öffentlichen Beschaffung,
3. Förderungsmaßnahmen im Bereich von Anlagen, Haushalten und Verkehr für emissionsarme Technologien und Verhaltensweisen, die Emissionen reduzieren,
4. Maßnahmen hinsichtlich des Betriebs von mobilen Motoren,
5. Maßnahmen zur Optimierung des Winterdienstes und
6. sonstige Maßnahmen in der Zuständigkeit des Bundes.
Im Programm sind für jede Maßnahme das Gebiet, in dem sie gilt, sowie eine Umsetzungsfrist festzulegen. In das Programm sind Angaben gemäß Anhang XV Z 7 bis 9 der Richtlinie 2008/50/EG aufzunehmen. Im Programm ist die Auswahl der festgelegten Maßnahmen zu begründen. Weiters ist in einem Anhang zum Programm auf im selbständigen Wirkungsbereich der Länder und Gemeinden getroffene Maßnahmen zur Verringerung der Emissionen jener Schadstoffe, für die das Programm erstellt wird, zu verweisen.
(4) Wenn hinsichtlich mehrerer der in Anlage 1 und 2 oder einer Verordnung gemäß § 3 Abs. 5 genannten Schadstoffe eine Grenzwertüberschreitung vorliegt, kann der Landeshauptmann ein integriertes Programm für alle betroffenen Schadstoffe erstellen. Dies gilt sinngemäß für Programme gemäß Abs. 2. Programme für PM10 müssen auch auf die Verringerung der PM2,5-Konzentration abzielen.
(5) Wenn in mehreren Bundesländern Überschreitungen des Grenzwerts des gleichen Schadstoffs aufgetreten sind, ist in Zusammenarbeit der Landeshauptmänner jener Länder, aus deren Gebiet die Emissionen stammen, die maßgeblich zur Überschreitung der Grenzwerte beigetragen haben, ein gemeinsames übergreifendes Programm zu erstellen, das die Einhaltung der Grenzwerte sicherstellt.
(5a) Sind Überschreitungen eines Grenzwerts in einem Bundesland maßgeblich auf Emissionen aus einem anderen Bundesland zurückzuführen, ist in Zusammenarbeit sowohl des Landeshauptmanns, in dessen Gebiet der Immissionsgrenzwert überschritten wurde, als auch des Landeshauptmanns, aus dessen Gebiet ein maßgeblicher Teil der Emissionen stammt, ein gemeinsames übergreifendes Programm zu erstellen, das die Einhaltung der Grenzwerte sicherstellt.
(6) Das Programm ist alle drei Jahre nach seiner Kundmachung insbesondere in Bezug auf seine Wirksamkeit zur Erreichung der Ziele dieses Bundesgesetzes zu evaluieren und erforderlichenfalls zu überarbeiten. Der Evaluierungsbericht sowie gegebenenfalls der Entwurf des überarbeiteten Programms und die seiner Erstellung zugrundeliegenden Studien und wesentlichen Grundlagen und, sofern der Entwurf vorsieht, Maßnahmen gemäß dem 4. Abschnitt mit Verordnung gemäß § 10 vorzuschreiben, auch der Entwurf für diese Verordnung, sind spätestens ein Jahr nach Beginn der Evaluierung auf der Internetseite des Landes zu veröffentlichen. Jedermann kann zum Entwurf des überarbeiteten Programms binnen sechs Wochen Stellung nehmen. Die in ihrem Wirkungsbereich berührten Bundesminister sowie die gesetzlich eingerichteten Interessenvertretungen sind von der Veröffentlichung des Entwurfs und der Möglichkeit zur Stellungnahme in Kenntnis zu setzen. Abs. 1a ist sinngemäß anzuwenden, mit der Maßgabe, dass der Antrag innerhalb von acht Wochen nach der Kundmachung des überarbeiteten Programms zu erfolgen hat. Das überarbeitete Programm ist spätestens 18 Monate nach Beginn der Evaluierung auf der Internetseite des Landes kundzumachen.
(7) Sofern gemäß § 8 Abs. 8 der Bundesminister für Land- und Forstwirtschaft, Umwelt und Wasserwirtschaft die Statuserhebung erstellt, hat dieser auch das Programm zu erstellen und zu evaluieren sowie die Bescheide gemäß Abs. 1a und 11 zu erlassen.
(8) Das Programm ist spätestens 21 Monate nach Ablauf des Jahres, in dem die Grenz- oder Zielwertüberschreitung gemessen oder die Überschreitung des AEI durch den Bundesminister für Land- und Forstwirtschaft, Umwelt und Wasserwirtschaft ausgewiesen wurde, auf der Internetseite des Landes und auf der Internetseite des Bundesministeriums für Land- und Forstwirtschaft, Umwelt und Wasserwirtschaft kundzumachen. Der Landeshauptmann bzw. der Bundesminister für Land- und Forstwirtschaft, Umwelt und Wasserwirtschaft in den Fällen des Abs. 7 hat die Informationen über das Programm gemäß den Bestimmungen der Richtlinie 2008/50/EG zu erstellen. Diese Informationen sind vom Bundesminister für Land- und Forstwirtschaft, Umwelt und Wasserwirtschaft gesammelt gemäß den Bestimmungen der Richtlinie 2008/50/EG an die Europäische Kommission zu übermitteln.
(Anm.: Abs. 9 aufgehoben durch Art. 2 Z 5, BGBl. I Nr. 73/2018)
(10) Überschreitet der Wert eines Luftschadstoffs den Grenzwert gemäß Anlage 1 oder 2 oder einer Verordnung gemäß § 3 Abs. 5 oder den Alarmwert gemäß Anlage 4 infolge der Emissionen in einem anderen Mitgliedstaat der Europäischen Union oder besteht die Gefahr einer solchen Überschreitung, hat der Bundesminister für Land- und Forstwirtschaft, Umwelt und Wasserwirtschaft Konsultationen mit den zuständigen Behörden des anderen Mitgliedstaates einzuleiten mit dem Ziel, das Problem zu beheben. Wenn die Statuserhebung ergibt, dass die Überschreitung eines Grenz- oder Zielwerts ausschließlich durch Emissionen im Ausland verursacht wurde, entfällt die Erstellung eines Programms gemäß Abs. 1 und 4.
(11) Natürliche Personen, die von der Überschreitung eines Grenzwerts gemäß Abs. 1 unmittelbar betroffen sind, sowie nach § 19 Abs. 7 UVP G 2000 anerkannte Umweltorganisationen im Rahmen ihrer örtlichen Anerkennung können beim Landeshauptmann einen begründeten Antrag auf Erstellung eines Programms gemäß Abs. 1 oder, soweit ein Programm bereits erstellt wurde, einen Antrag auf dessen Überarbeitung gemäß Abs. 6 oder auf Anordnung von im Programm grundgelegten Maßnahmen gemäß dem 4. Abschnitt mit Verordnung gemäß § 10 stellen. Bei Vorliegen der Voraussetzungen gemäß Abs. 1 oder 6 für die Erstellung oder Überarbeitung des Programms hat der Landeshauptmann unverzüglich mit dessen Erstellung oder Überarbeitung zu beginnen. Maßnahmen gemäß dem 4. Abschnitt sind mit Verordnung gemäß § 10 anzuordnen oder der Landeshauptmann hat mittels Bescheid festzustellen, dass die beantragten Maßnahmen, insbesondere unter Bedachtnahme auf die in § 9b normierten Grundsätze zur Erreichung der Ziele dieses Bundesgesetzes (§ 1 Abs. 1), nicht erforderlich sind. Bei Nichtvorliegen der Voraussetzungen für die Erstellung oder Überarbeitung des Programms gemäß Abs. 1 oder 6 hat der Landeshauptmann einen Bescheid über das Nichtvorliegen der gesetzlichen Voraussetzungen zu erlassen.
(12) Natürlichen Personen, die von der Überschreitung eines Grenzwerts gemäß Abs. 1 unmittelbar betroffen sind, sowie nach § 19 Abs. 7 UVP G 2000 anerkannten Umweltorganisationen im Rahmen ihrer örtlichen Anerkennung steht das Recht zu, gegen Bescheide gemäß Abs. 1a oder 11 eine Beschwerde beim Landesverwaltungsgericht zu erheben.
(13) Bei der Stellung eines Antrags gemäß Abs. 1a oder 11 sowie der Erhebung einer Beschwerde gemäß Abs. 12 haben natürliche Personen ihre unmittelbare Betroffenheit glaubhaft zu machen. Unmittelbar betroffen ist, wer aufgrund der Überschreitung eines Grenzwerts gemäß Abs. 1 in seiner Gesundheit gefährdet ist. Umweltorganisationen haben Informationen und Daten anzufügen, aus denen ihre Anerkennung gemäß § 19 Abs. 7 UVP G 2000 hervorgeht. Im Antrag oder der Beschwerde ist begründet darzulegen, weshalb die Voraussetzungen für die Erstellung oder Überarbeitung eines Programms vorliegen oder weshalb die im Programm enthaltenen Maßnahmen in ihrer Gesamtheit ungeeignet erscheinen, die ehestmögliche Einhaltung der in Abs. 1 normierten Grenzwerte sicherzustellen.
(6) Wenn das Programm einer Umweltprüfung unterzogen wurde, hat der Landeshauptmann oder der Bundesminister für Land- und Forstwirtschaft, Umwelt und Wasserwirtschaft, falls dieser zuständig ist, eine zusammenfassende Erklärung über die Umweltprüfung gemeinsam mit dem Programm auf der Internetseite des Landes bzw. des Bundesministeriums für Land- und Forstwirtschaft, Umwelt und Wasserwirtschaft zu veröffentlichen. In der zusammenfassenden Erklärung ist darzulegen,
1. wie die Umwelterwägungen in das Programm einbezogen wurden,
2. wie der Umweltbericht, die eingelangten Stellungnahmen und gegebenenfalls die Ergebnisse grenzüberschreitender Konsultationen gemäß § 9d berücksichtigt wurden,
3. aus welchen Gründen nach Abwägung welcher geprüften Alternativen die Erstellung des Plans erfolgt ist und
4. welche Maßnahmen zur Überwachung der erheblichen Auswirkungen der Umsetzung des Programms auf die Umwelt vorgesehen sind.
(7) Der Landeshauptmann oder der Bundesminister für Land- und Forstwirtschaft, Umwelt und Wasserwirtschaft, falls dieser zuständig ist, hat dafür Sorge zu tragen, dass die erheblichen Auswirkungen der Umsetzung des Programms auf die Umwelt überwacht werden, um unter anderem frühzeitig unvorhergesehene negative Auswirkungen ermitteln zu können und erforderlichenfalls geeignete Abhilfemaßnahmen zu ergreifen. Diese Überwachung ist gemeinsam mit der Evaluierung des Programms gemäß § 9a Abs. 6 durchzuführen.
(2b) Maßnahmen gemäß Abs. 1 dürfen den ordnungsgemäßen Flugbetrieb auf Flugplätzen, für die Betriebspflicht besteht, nicht gefährden.
(3) Der Bundesminister für Land- und Forstwirtschaft, Umwelt und Wasserwirtschaft hat im Einvernehmen mit dem Bundesminister für Wirtschaft, Familie und Jugend mit Verordnung Regelungen für die zeitliche und räumliche Verwendung und den Betrieb von mobilen technischen Einrichtungen, Maschinen und Geräten mit mehr als 18 kW in Sanierungsgebieten anzuordnen, die vor und nach der Umsetzung der Richtlinie 97/68/EG zur Angleichung der Rechtsvorschriften der Mitgliedstaaten über Maßnahmen zur Bekämpfung der Emission von gasförmigen Schadstoffen und luftverunreinigenden Partikeln aus Verbrennungsmotoren für mobile Maschinen und Geräte, ABl. Nr. L 59 vom 27. Februar 1998 S. 1, in der Fassung der Richtlinie 2004/26/EG ABl. Nr. L 146 vom 30. April 2004 S. 1, berichtigt durch ABl. Nr. L 225 vom 25. Juni 2004 S. 3 erstmalig in Verkehr gebracht wurden. Mit Inkrafttreten dieser Verordnung treten frühere Bestimmungen der Landeshauptmänner über mobile technische Einrichtungen, Maschinen und Geräte, die auf Grundlage des Abs. 1 erlassen wurden, außer Kraft.
2. Fahrzeuge der Land- und Forstwirtschaft in Ausübung einer land- oder forstwirtschaftlichen Haupttätigkeit,
3. Fahrzeuge, für deren Benützung im Sanierungsgebiet ein im Einzelfall zu prüfendes überwiegendes öffentliches Interesse besteht und die entsprechend einer Verordnung nach Abs. 4 gekennzeichnet sind, sofern nicht in einer Verordnung gemäß § 10 für Straßenbenützung der betreffenden Art nach Abwägung der Interessen die Erteilung von Ausnahmegenehmigungen für bestimmte Gruppen von Kraftfahrzeugen wegen ihres wesentlichen Emissionsbeitrages ausgeschlossen wird,
4. Fahrzeuge der Klassen N1 und N2, die im Werkverkehr gemäß § 10 des Güterbeförderungsgesetzes 1995, BGBl. Nr. 593 in der Fassung des Bundesgesetzes BGBl. I Nr. 153/2006, im Sanierungsgebiet durch Unternehmer, deren Lastkraftwagenflotte maximal 4 Lastkraftwagen umfasst, verwendet werden und die entsprechend einer Verordnung nach Abs. 4 gekennzeichnet sind, wobei die Erfüllung dieser Kriterien im Einzelfall zu prüfen ist,
5. Fahrzeuge mit monovalentem Methangasantrieb oder ausschließlich elektrischem Antrieb sowie plug-in-hybrid-elektrische Fahrzeuge, die mit ausschließlich elektrischem Antrieb eine Mindestreichweite von 50 km aufweisen,
6. folgende Fahrzeuge, sofern sie den Euroklassen 5, 6 oder höher entsprechen:
a) Fahrzeuge von Ärzten, Tierärzten, Bestattungsunternehmungen in Ausübung ihres Dienstes,
b) Kraftfahrzeuge zur Personenbeförderung im Kraftfahrlinien-, Gelegenheits- oder Werkverkehr,
c) Kraftfahrzeuge, soweit sie zum Zweck einer Ladetätigkeit in Ausübung einer unternehmerischen Tätigkeit benützt werden und sofern der Ausgangs- oder der Zielpunkt ihrer Fahrten in jenem Teil des Sanierungsgebietes liegt, für den Verkehrsbeschränkungen verhängt wurden,
d) Fahrzeuge des Vor- und Nachlaufs im Kombinierten Verkehr, wenn die Verladestelle für den Kombinierten Verkehr in einem Sanierungsgebiet liegt,
7. Fahrzeuge, die zur Aufrechterhaltung des ordnungsgemäßen Betriebs auf Flugplätzen, für die Betriebspflicht besteht, erforderlich sind,
8. Fahrzeuge, die von Inhabern eines Ausweises gemäß § 29b StVO 1960 selbst gelenkt oder als Mitfahrer benutzt werden.
(2a) Geschwindigkeitsbeschränkungen sind nicht anzuwenden auf
1. Einsatzfahrzeuge gemäß § 2 Abs. 1 Z 25 StVO 1960 und Fahrzeuge des öffentlichen Sicherheitsdienstes bei Fahrten, die für die ordnungsgemäße Ausübung des Dienstes erforderlich sind,
2. Fahrzeuge mit reinem Elektroantrieb oder mit Wasserstoff-Brennstoffzellentechnologie, die gemäß § 49 Abs. 4 Z 5 KFG 1967, BGBl. Nr. 267, gekennzeichnet sind und auf Autobahnen oder Schnellstraßen betrieben werden, sofern darauf gemäß den Bestimmungen des Abs. 6 mittels Hinweisschildern ausreichend aufmerksam gemacht wird.
(3) Ob ein überwiegendes öffentliches Interesse im Sinne des Abs. 2 Z 3 oder ob die Kriterien des Abs. 2 Z 4 vorliegen, ist auf Antrag des Zulassungsbesitzers von der Bezirksverwaltungsbehörde zu prüfen. Zuständig ist jene Bezirksverwaltungsbehörde, in deren Sprengel die erstmalige Einfahrt in das Sanierungsgebiet erfolgt. Wird die erstmalige Fahrt innerhalb des Sanierungsgebietes angetreten, so ist jene Bezirksverwaltungsbehörde zuständig, in deren Sprengel die Fahrt angetreten wird oder sich der Hauptwohnsitz oder die Niederlassung des Zulassungsbesitzers befindet. Der Antragsteller gemäß Abs. 2 Z 3 hat glaubhaft zu machen, dass die Fahrt weder durch organisatorische Maßnahmen noch durch die Wahl eines anderen Verkehrsmittels vermieden werden kann. Bei Vorliegen dieser Bedingungen ist das Kraftfahrzeug gegen Ersatz der Gestehungskosten gemäß Abs. 4 zu kennzeichnen. Die Ausnahme ist von der Behörde befristet, für Fahrzeuge gemäß Abs. 2 Z 3 höchstens für 36 Monate ab Erteilung der Ausnahme zu gewähren. Für Fahrzeuge gemäß Abs. 2 Z 4 ist die Ausnahme für Fahrzeuge der Euroklasse 0 bis 36 Monate nach Inkrafttreten dieses Bundesgesetzes und für Fahrzeuge der Euroklasse 1 und höher für jeweils 36 Monate ab Erteilung der Ausnahme zu gewähren. Wenn das Vorliegen eines Interesses nur für einen bestimmten Teil des Sanierungsgebietes nachgewiesen wird, so ist die Ausnahmegenehmigung auf diesen Teil des Sanierungsgebietes zu beschränken. Stellt die Verwaltungsbehörde fest, dass kein solches Interesse besteht oder die Kriterien des Abs. 2 Z 4 nicht erfüllt werden, so ist die Ablehnung des Antrags mit Bescheid auszusprechen.
(4) Der Bundesminister für Land- und Forstwirtschaft, Umwelt und Wasserwirtschaft hat mit Verordnung nähere Bestimmungen über die Kennzeichnung von Kraftfahrzeugen im Sinne des Abs. 2 Z 3 und 4 festzusetzen, wobei insbesondere die Beschaffenheit und das Aussehen der Kennzeichnung sowie deren Anbringung am Fahrzeug zu regeln sind .
(5) Die Organe der Straßenaufsicht und der Bundespolizei haben den zur Vollziehung der Maßnahmen nach Abs. 1 zuständigen Behörden und Organen über deren Ersuchen im Rahmen ihres gesetzmäßigen Wirkungsbereichs Hilfe zu leisten und bei der Überwachung der Einhaltung dieser Maßnahmen gemäß § 97 StVO 1960 vorzugehen.
(6) Anordnungen gemäß Abs. 1 sind, soweit dies möglich ist, durch Straßenverkehrszeichen gemäß § 52 StVO 1960 kundzumachen; die Zeichen sind mit einer Zusatztafel mit dem Wortlaut „Immissionsschutzgesetz-Luft“ oder „IG-L“ zu versehen. Für die Kundmachung, Aufstellung und Beschaffenheit der Zeichen gelten § 44 Abs. 1, 1a, 2 und 4 sowie §§ 48, 51 und 54 StVO 1960 sinngemäß mit der Maßgabe, dass beim Einsatz eines flexiblen Systems, wie zB einer Verkehrsbeeinflussungsanlage, die Zusatztafel auch an anderer Stelle des Anzeigenquerschnitts, gegebenenfalls in Verbindung mit einem Zeichen gemäß § 50 Z 16 StVO 1960, angebracht werden kann. Der jeweilige Straßenerhalter hat für die Kundmachung zu sorgen. Anordnungen gemäß Abs. 1, die flächenhaft für ein bestimmtes Gebiet gelten und nur mit unverhältnismäßig hohem Aufwand mit Straßenverkehrszeichen gemäß § 52 StVO 1960 kundgemacht werden können, können im Landesgesetzblatt kundgemacht werden. Der Inhalt dieser Anordnungen ist auf der Internetseite des Landes für jedermann zugänglich zu machen. Anordnungen des Bundesministers für Land- und Forstwirtschaft, Umwelt und Wasserwirtschaft, die im gesamten Bundesgebiet gelten, können durch Kundmachung im Bundesgesetzblatt kundgemacht werden. Der Inhalt dieser Anordnungen ist auf der Internetseite des Bundesministeriums für Land- und Forstwirtschaft, Umwelt und Wasserwirtschaft für jedermann zugänglich zu machen. Auf den Inhalt von solchen Anordnungen, die ausschließlich im Landes- oder Bundesgesetzblatt kundgemacht werden, ist jedenfalls mittels Hinweisschildern ausreichend aufmerksam zu machen.
(6a) Der Landeshauptmann kann für bestimmte Streckenabschnitte im hochrangigen Straßennetz (Autobahnen und Schnellstraßen), die bereits mit einem Verkehrsbeeinflussungssystem gemäß § 44 Abs. 1a StVO 1960 ausgestattet sind, für den Fall zu erwartender Überschreitungen von Grenzwerten gemäß Anlage 1 und 2 oder einer Verordnung gemäß § 3 Abs. 5 durch Verordnung Geschwindigkeitsbeschränkungen festlegen, die auf Grund der örtlichen, topographischen, meteorologischen und luftschadstoffrelevanten Gegebenheiten zur Hintanhaltung der Grenzwertüberschreitungen notwendig sind; in diesem Fall sind die Kosten der Adaptierung des Verkehrsbeeinflussungssystems und zusätzliche Betriebskosten dem Bund (Bundesstraßenverwaltung) vom Land zu ersetzen. Der Landeshauptmann kann eine derartige Verordnung auch für Streckenabschnitte im hochrangigen Straßennetz, die nicht mit einem Verkehrsbeeinflussungssystem gemäß § 44 Abs. 1a StVO 1960 ausgestattet sind, erlassen; diesfalls sind die Errichtungs- und Betriebskosten des Verkehrsbeeinflussungssystems anteilsmäßig zwischen Bund (Bundesstraßenverwaltung) und dem Land gemäß dem voraussichtlichen Verwendungszweck der Verkehrsbeeinflussungsanlage aufzuteilen.
(6b) In der Verordnung gemäß Abs. 6a sind festzusetzen:
1. der Streckenabschnitt, auf dem die Geschwindigkeitsbeschränkungen gelten sollen,
2. die Höhe der Geschwindigkeitsbeschränkungen, die bei zu erwartenden Grenzwertüberschreitungen jeweils gelten sollen, und
3. die Parameter für die In- und Außerkraftsetzung der Geschwindigkeitsbeschränkungen.
(6c) Die Kundmachung von Verordnungen gemäß Abs. 6a erfolgt mittels eines Verkehrsbeeinflussungssystems (§ 44 Abs. 1a StVO 1960). Der örtliche und zeitliche Umfang der von der Behörde verordneten Geschwindigkeitsbeschränkungen wird dabei durch die Anzeige der betreffenden Straßenverkehrszeichen mit der Wirkung bestimmt, als ob der örtliche und zeitliche Umfang von der Behörde bestimmt worden wäre.
(6d) Der Bundesminister für Land- und Forstwirtschaft, Umwelt und Wasserwirtschaft hat im Einvernehmen mit dem Bundesminister für Verkehr, Innovation und Technologie durch Verordnung die allgemeinen Kriterien festzulegen, auf deren Basis der Landeshauptmann die Parameter gemäß Abs. 6b Z 3 anordnet.
(7) Die Organe der Straßenaufsicht sind berechtigt, Personen, die gegen zeitliche und räumliche Beschränkungen oder gegen Geschwindigkeitsbeschränkungen verstoßen, am Lenken und an der Inbetriebnahme des Fahrzeuges zu hindern. Zu diesem Zweck sind, falls erforderlich, Zwangsmaßnahmen wie die Abnahme der Fahrzeugschlüssel, das Absperren oder die Einstellung des Fahrzeuges, das Anlegen technischer Sperren, die Abnahme des Führerscheines und dergleichen anzuwenden. Die Bestimmungen des § 100 Abs. 3a und Abs. 3b StVO 1960, BGBl. Nr. 159/1960 sind sinngemäß anzuwenden.
(8) Die in den §§ 98a, 98b, 98e StVO 1960, BGBl. Nr. 159 in der Fassung des Bundesgesetzes BGBl. I Nr. 93/2009 sowie in § 134 Abs. 3b und Abs. 4a KFG 1967, BGBl. Nr. 267 in der Fassung des Bundesgesetzes BGBl. I Nr. 149/2009, vorgesehenen Bestimmungen und technischen Einrichtungen zur Verkehrsüberwachung können auch zur Überwachung von Geschwindigkeitsbeschränkungen und von zeitlichen und räumlichen Beschränkungen des Verkehrs nach diesem Bundesgesetz herangezogen werden.
4. Anbringungsort am Fahrzeug.
(2) Ausgenommen von einem Fahrverbot gemäß Abs. 1 Z 4 sind jedenfalls Fahrzeuge gemäß § 14 Abs. 2 Z 1 und 5 sowie Fahrzeuge, die
1. der unternehmerischen Versorgung mit zur Befriedigung der notwendigen Bedürfnisse des täglichen Lebens dienenden verderblichen Waren,
2. der unaufschiebbaren landwirtschaftlichen Tätigkeit für eine gesicherte Nahrungsmittelproduktion oder
3. der Versorgung mit mobilen Hilfsdiensten
dienen. Weitere Ausnahmen sind erforderlichenfalls vom Landeshauptmann festzulegen.
(3) Für die Kundmachung von Maßnahmen gemäß Abs. 1 Z 4 gilt § 14 Abs. 6.
– des Grenzwertes für Blei in PM 10 gemäß Anlage 1a oder
– des Grenzwertes für Arsen, Kadmium, Nickel oder Benzo(a)pyren gemäß Anlage 1a
vorliegt oder durch die Genehmigung zu erwarten ist, ist die Genehmigung nur dann zu erteilen, wenn
1. die Emissionen keinen relevanten Beitrag zur Immissionsbelastung leisten oder
2. der zusätzliche Beitrag durch emissionsbegrenzende Auflagen im technisch möglichen und wirtschaftlich zumutbaren Ausmaß beschränkt wird und die zusätzlichen Emissionen erforderlichenfalls durch Maßnahmen zur Senkung der Immissionsbelastung, insbesondere auf Grund eines Programms gemäß § 9a oder eines Maßnahmenkatalogs gemäß § 10 dieses Bundesgesetzes in der Fassung des Bundesgesetzes BGBl. I Nr. 34/2003, ausreichend kompensiert werden, so dass in einem realistischen Szenario langfristig keine weiteren Überschreitungen der in diesem Absatz angeführten Werte anzunehmen sind, sobald diese Maßnahmen wirksam geworden sind.
(4) Die Bestimmungen der Abs. 1 bis 3 gelten nicht für
1. Anlagen, die der Gewerbeordnung 1994, dem Emissionsschutzgesetz für Kesselanlagen oder dem Mineralrohstoffgesetz unterliegen,
2. mobile technische Einrichtungen, Maschinen und Geräte im Sinne des § 2 Abs. 10 Z 2.
(5) Für Anlagen, die gemäß Abs. 3 genehmigt wurden, sind innerhalb von 5 Jahren ab dem Zeitpunkt der Genehmigung keine Maßnahmen gemäß § 16 anzuordnen.
e) einer Aufzeichnungs- oder Meldepflicht gemäß § 21a Abs. 5 nicht nachkommt,
f) einer Genehmigungsvoraussetzung gemäß § 21 Abs. 2 zuwiderhandelt;
4. mit Geldstrafe bis zu 2 180 Euro, wer einer gemäß §§ 14 oder 16 Abs. 1 Z 4 erlassenen und entsprechend kundgemachten Anordnung in einer Verordnung gemäß § 10 zuwiderhandelt, wovon insbesondere die fehlende, falsche oder fehlerhafte Kennzeichnung gemäß einer aufgrund von § 14a Abs. 4 erlassenen Verordnung umfasst ist.
Bei einer Verwaltungsübertretung im Sinne der Z 4 kann im Fall von Überschreitungen einer Geschwindigkeitsbeschränkung, sofern die Überschreitung nicht mehr als 30 km/h beträgt, sowie im Fall von Übertretungen von zeitlichen und räumlichen Beschränkungen eine Organstrafverfügung (§ 50 VStG) in Höhe von bis zu 90 Euro verhängt werden.
(2) Die auf Grund dieses Bundesgesetzes verhängten Geldstrafen fließen der Gebietskörperschaft zu, die den Aufwand jener Behörde zu tragen hat, die die Geldstrafe verhängte.
(3) Beim begründeten Verdacht einer Übertretung der Vorschriften dieses Bundesgesetzes oder der aufgrund dieses Bundesgesetzes erlassenen Verordnungen, insbesondere des § 14, kann von Organen des öffentlichen Sicherheitsdienstes und der Straßenaufsicht als vorläufige Sicherheit gemäß § 37a VStG ein Betrag bis zu 1.500 Euro festgesetzt werden.
| 10 |
| Stickstoffdioxid | 200 | 30 **) |
| PM 10 | 50 ***) | 40 |
| Blei in PM 10 | 0,5 |
| Benzol | 5 |
| Arsen | 6 ****) |
| Kadmium | 5 ****) |
| Nickel | 20 ****) |
| Benzo(a)pyren | 1 ****) |
________________
*) Drei Halbstundenmittelwerte pro Tag, jedoch maximal 48 Halbstundenmittelwerte pro Kalenderjahr bis zu einer Konzentration von 350 µg/m 3 gelten nicht als Überschreitung.
**) Der Immissionsgrenzwert von 30 µg/m 3 ist ab 1. Jänner 2012 einzuhalten. Die Toleranzmarge beträgt 30 µg/m 3 bei Inkrafttreten dieses Bundesgesetzes und wird am 1. Jänner jedes Jahres bis 1. Jänner 2005 um 5 µg/m 3 verringert. Die Toleranzmarge von 10 µg/m 3 gilt gleich bleibend ab 1. Jänner 2005 bis 31. Dezember 2009. Die Toleranzmarge von 5 µg/m 3 gilt gleich bleibend ab 1. Jänner 2010. Im Jahr 2012 ist eine Evaluierung der Wirkung der Toleranzmarge für die Jahre 2010 und 2011 durchzuführen. Auf Grundlage dieser Evaluierung hat der Bundesminister für Land- und Forstwirtschaft, Umwelt und Wasserwirtschaft im Einvernehmen mit dem Bundesminister für Wirtschaft, Familie und Jugend gegebenenfalls den Entfall der Toleranzmarge mit Verordnung anzuordnen.
***) Pro Kalenderjahr ist die folgende Zahl von Überschreitungen zulässig: ab Inkrafttreten des Gesetzes bis 2004: 35; von 2005 bis 2009: 30; ab 2010: 25.
****) Gesamtgehalt in der PM 10 Fraktion als Durchschnitt eines Kalenderjahres.
zu § 3 Abs. 1
Als Immissionsgrenzwert der Konzentration von PM 2,5 gilt der Wert von 25 µg/m 3 als Mittelwert während eines Kalenderjahres (Jahresmittelwert). Der Immissionsgrenzwert von 25 µg/m 3 ist ab dem 1. Jänner 2015 einzuhalten.
| Wintermittelwert | 75% in jeder Hälfte der Beurteilungsperiode |
| Perzentile oder Summenhäufigkeitswerte | 75% in jeder Hälfte der Beurteilungsperiode |
| Kennwert | Mindestanzahl der TMW |
| Jahresmittelwert (JMW) | 90% 2 ) während des Jahres |
d) Im Sinne der Anlagen 1 und 2 dieses Gesetzes steht die Bezeichnung
1. „HMW“ für Halbstundenmittelwert,
2. „MW8“ für Achtstundenmittelwert (gleitende Auswertung, Schrittfolge eine halbe Stunde),
3. „TMW“ für Tagesmittelwert,
4. „JMW“ für Jahresmittelwert.
_________________
1 ) Um systematische Einflüsse (Tagesgang) zu vermeiden, sind in diesem Fall mehr als 75% der HMW des Tages erforderlich.
2 ) Datenverluste aufgrund regelmäßiger Kalibrierung oder üblicher Gerätewartung sind in der Anforderung für die Berechnung des Jahresmittelwerts nicht berücksichtigt.
– den Umfang und die räumliche Ausdehnung der Auswirkungen (geographisches Gebiet und Anzahl der voraussichtlich betroffenen Personen),
– die Bedeutung und die Sensibilität des voraussichtlich betroffenen Gebiets aufgrund folgender Faktoren:
– besondere natürliche Merkmale oder kulturelles Erbe, – Überschreitung der Umweltqualitätsnormen oder der Grenzwerte,
– intensive Bodennutzung,
– die Auswirkungen auf Gebiete oder Landschaften, deren Status als national, gemeinschaftlich oder international geschützt anerkannt ist.
Folgende Informationen sind in den Umweltbericht aufzunehmen:
1. eine Kurzdarstellung des Inhalts und der wichtigsten Ziele des Programms gemäß § 9a sowie der Beziehung zu anderen relevanten Plänen und Programmen;
2. die relevanten Aspekte des derzeitigen Umweltzustands und dessen voraussichtliche Entwicklung bei Nichtdurchführung des Programms;
3. die Umweltmerkmale der Gebiete, die voraussichtlich erheblich beeinflusst werden;
4. sämtliche derzeitigen für das Programm relevanten Umweltprobleme unter besonderer Berücksichtigung der Probleme, die sich auf Gebiete mit einer speziellen Umweltrelevanz beziehen, wie etwa die gemäß der Richtlinie 79/409/EWG über die Erhaltung der wildlebenden Vogelarten, ABl. Nr. L 103 vom 25. April 1979, S. 1, zuletzt geändert durch die Verordnung (EG) Nr. 807/2003, ABl. Nr. L 122 vom 16. Mai 2003, S. 36, oder der Richtlinie 92/43/EWG zur Erhaltung der natürlichen Lebensräume sowie der wildlebenden Tiere und Pflanzen, ABl. Nr. L 206 vom 22. Juli 1992, S. 7, zuletzt geändert durch die Verordnung (EG) Nr. 1882/2003, ABl. Nr. L 284 vom 31. Oktober 2003, S. 1, ausgewiesenen Gebiete;
5. die auf internationaler oder gemeinschaftlicher Ebene oder auf nationaler Ebene festgelegten Ziele des Umweltschutzes, die für das Programm von Bedeutung sind, und die Art, wie diese Ziele und alle Umwelterwägungen bei der Ausarbeitung des Programms berücksichtigt wurden;
6. die voraussichtlichen erheblichen Umweltauswirkungen 1 , einschließlich der Auswirkungen auf Aspekte wie die biologische Vielfalt, die Bevölkerung, die Gesundheit des Menschen, Fauna, Flora, Boden, Wasser, Luft, klimatische Faktoren, Sachwerte, das kulturelle Erbe einschließlich der architektonisch wertvollen Bauten und der archäologischen Schätze, die Landschaft und die Wechselbeziehung zwischen den genannten Faktoren;
7. die Maßnahmen, die geplant sind, um erhebliche negative Umweltauswirkungen aufgrund der Durchführung des Programms zu verhindern, zu verringern und soweit wie möglich auszugleichen;
8. eine Kurzdarstellung der Gründe für die Wahl der geprüften Alternativen und eine Beschreibung, wie die Umweltprüfung vorgenommen wurde, einschließlich etwaiger Schwierigkeiten bei der Zusammenstellung der erforderlichen Informationen (zB technische Lücken oder fehlende Kenntnisse);
9. eine Beschreibung der geplanten Maßnahmen zur Überwachung der Durchführung des Programms;
10. eine nichttechnische Zusammenfassung der oben beschriebenen Informationen.
1 Einschließlich sekundärer, kumulativer, synergetischer, kurz-, mittel- und langfristiger, ständiger und vorübergehender, positiver und negativer Auswirkungen.
(a) S j 20. In diesem Fall können die zu erreichenden Durchschnittswerte für 2013, 2014 und 2015 durch Senken der berechneten Durchschnittswerte der Messstationen von über 20 µg/m³ um den gleichen %-Satz derart verringert werden, dass der Durchschnitt 2013, 2014 und 2015 über alle Messstationen 20 µg/m³ beträgt:

Die zu erreichenden Durchschnittswerte für 2013, 2014 und 2015 sind dann um je 100p % geringer als die jeweiligen Durchschnittswerte im Zeitraum der Überschreitung.
(b) S j = 20. In diesem Fall sollen die zu erreichenden Durchschnittswerte für 2013, 2014 und 2015 um 100 Xj % unter die jeweiligen Durchschnittswerte im Zeitraum der Überschreitung gesenkt werden.
(c) S j 20. In diesem Fall beträgt der für die Messstelle j zu erreichende Durchschnittswert für 2013, 2014 und 2015 20 µg/m³ und die Berechnung wird für die nächste Messstelle (j+1) nochmals durchgeführt.